Uses of carnot cycle - thermodynamics, Mechanical Engineering

Assignment Help:

Uses of Carnot Cycle:

1. It helping us to appreciate what factors is desirable in the design of practical cycle; namely a maximum possible temperature range.

1 maximum possible heat addition into cycle at maximum cycle temperature

2 a minimum possible work input into the cycle.

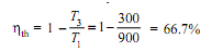
2. The Carnot cycle helps to understand the thermodynamic constraints on design of cycles. For instance, even if such a plant were practicable and even if the maximum cycle temperature could be

900K the cycle thermal efficiency would be well below 100 percent. This is called as Cartrot lintitation.

459_Uses of Carnot Cycle.png

A hypothetical plant operating on this type of cycle would have plant efficiency lower than this owing to the inefficiencies of individual plant items.

1670_Uses of Carnot Cycle1.png

 


Related Discussions:- Uses of carnot cycle - thermodynamics

Newton ring, What is a newton ring excrement

What is a newton ring excrement

Pliers tool and equipment , Pliers: Pliers are used just for gripping or w...

Pliers: Pliers are used just for gripping or wire cutting and should never be used as substitute for spanners. The following types of plier are used : (a) Side cutting pliers

Means of starting -kick starting -self-starting , Means of Starting ...

Means of Starting Kick Starting A kick lever is used to crank the engine. When we crank the engine, the air-fuel mixer is sucked into the engine and pressure builds in

Characteristics of computer controlled scheduling (ccs), Characteristics...

Characteristics  Of  Computer  Controlled Scheduling (Ccs) To control the manufacturing system in an effectual way, the system is normally composed in a task-based hierarchy. T

Quenching and tempering, Quenching and Tempering Cast iron pearlite st...

Quenching and Tempering Cast iron pearlite structure might be heated to lower critical temperature and after that quenched to effect extremely rapid cooling. This treatment re

Explain feed - cutting parameters, Explain Feed - Cutting Parameters ...

Explain Feed - Cutting Parameters 1. In cylindrical grinding feed is the longitude movement of the work piece per revolution. f=Feed in mm per work piece revolut

Clutch cable routing-Clutch Complaint, Clutch cable routing : Ensure that ...

Clutch cable routing : Ensure that the cable is routed as per standard routing, through the brackets provided.

Explain the uses of pier and well foundations, Explain the uses of Pier and...

Explain the uses of Pier and Well Foundations Well foundations are used to transmit large loads from piers of bridges and other marine structures. These are constructions carr

#title.scale, actual division 2km is shown as 1 cm in a map.construct a cle...

actual division 2km is shown as 1 cm in a map.construct a clean scale to measure km which can travel a distance upto 30 km.Show measurement of 18 km in the scale

Write Your Message!

Captcha
Free Assignment Quote

Assured A++ Grade

Get guaranteed satisfaction & time on delivery in every assignment order you paid with us! We ensure premium quality solution document along with free turntin report!

All rights reserved! Copyrights ©2019-2020 ExpertsMind IT Educational Pvt Ltd