Illustrate born-haber cycle, Chemistry

Assignment Help:

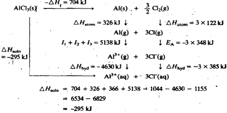
Q. Illustrate Born-Haber cycle?

Boron is always covalent and does not   form,B3+ ions, because' the energy required to remove three electrons is very high.  Many simple compounds of A1 and Ga like AlCl3 and GaCl3 are also covalent when anhydrous. However, in solution, the large amount of hydration energy evolved compensates the high ionisation energy and all the' metal ions exist in a hydrated state.

This can be explained with the help of Born-Haber cycle as given below. However, this is a simplified approach given only on the bas; of enthalpy changes, whereas the direction and extent of any reaction depend on the free energy changes which take into account changes both in enthalpy and entropy.

365_Illustrate Born-Haber cycle.png

Thus, despite the large ionisation energies of aluminium, the enthalpy of' solution of  AlCl3 has a large negative value. Therefore, in aqueous solution, AIC3 exists as AI3+(aq) and Cl-(aq). It might be thought that the same argument would apply to BCI3; But to make the enthalpy of solution of BCl3 nethalpy the enthalpy of hydration of B3+ should be - 6009 KJ which is unlikely for the small B3+cation. Therefore, BC13 hydrolyses in aqueous solution to give boric acid and not B3+ (aq).

BCl3 + 3H20 -----------------------------------> H3B03 + 3HCI


Related Discussions:- Illustrate born-haber cycle

Metallic acetates - acetic acid, Metallic Acetates - Acetic Acid For ma...

Metallic Acetates - Acetic Acid For making several useful metallic acetates, illustrated as: (1) Basic copper acetate that is used for making green paints. (2) Al, Fe and

Describe about oxides, Q. Describe about Oxides? As said before, oxygen...

Q. Describe about Oxides? As said before, oxygen reacts practically with all the elements in the periodic table, except Lighter noble gases, to form binary compounds called oxi

Why is zinc not extracted from zinc oxide?, Why is Zinc not extracted from ...

Why is Zinc not extracted from ZInc oxide throgh reduction with CO?? Ans) Reducing agent should have more negative ΔG value. In case of zinc oxide ,Zn has more negative ΔG value t

Salt analysis.., please tell the observation & inference, when ammonium pho...

please tell the observation & inference, when ammonium phosphate (NH4)3PO4 undergoes charcoal cavity test & cobalt nitrate test.....

Extraction, What is the principle underlying the extraction of metal

What is the principle underlying the extraction of metal

Describe subatomic particles and the nuclear atom, Q. Describe Subatomic Pa...

Q. Describe Subatomic Particles and the Nuclear Atom? One of the most significant results of Dalton's theory was that it generally persuaded scientists that atoms exist. As a r

Solute standard state based on mole fraction, Q. For a solution process in ...

Q. For a solution process in which species B is transferred from a gas phase to a liquid solution, find the relation between Δ sol G 0 (solute standard state based on mole fracti

What is use of ion pair reagents, WHAT IS USE OF ION PAIR REAGENTS? The c...

WHAT IS USE OF ION PAIR REAGENTS? The chemical substances that pair each other, to produces complexes. These can use for stabilization of one of the molecule that is more active

Fatty acids distribution in trihydric alcohol, what is the pattern and mech...

what is the pattern and mechanism of fatty acid distribution in trihydri alcohol for triacylglycerol formation.

Important synthetic rubbers: styrene rubber , Styrene rubber (GR-S or Buna-...

Styrene rubber (GR-S or Buna-S or SBR or Ameripol): Styrene butadiene rubber (SBR) is prepared by the copolymerization of butadiene (75%) and styrene (25%) in an emulsion styrene

Write Your Message!

Captcha
Free Assignment Quote

Assured A++ Grade

Get guaranteed satisfaction & time on delivery in every assignment order you paid with us! We ensure premium quality solution document along with free turntin report!

All rights reserved! Copyrights ©2019-2020 ExpertsMind IT Educational Pvt Ltd