Explain the bromonium ion, Chemistry

Assignment Help:

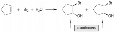
Explain The bromonium ion

The bromonium ion derived from the reaction of cyclopentene with bromine undergoes backside substitution by water to give the trans-bromohydrin, which is chiral. Because the starting materials are achiral, the chiral product is obtained as a racemate.

 

2245_chemsitry.png


Related Discussions:- Explain the bromonium ion

Role of organic solvents in atomisation, Role of organic solvents in atomis...

Role of organic solvents in atomisation: The organic solvents of low molar mass like alcohols, ethers, and ketones enhance the absorption peaks by increasing rate of aspiratio

Enzymatic action is highly specific, Why can it be said that the enzymatic ...

Why can it be said that the enzymatic action is highly specific? Ans) The enzymatic action is highly particular because only particular substrates of one enzyme bind to the acti

Standard solutions and titrations, How are standard solutions and titratio...

How are standard solutions and titrations are prepared in industry?

Define why the glocose and fructose form the same osazone, Glucose and fruc...

Glucose and fructose are epimers so they are differ in their second carbon position and remaining is same so when they react with phenylhydrazeen they give same osazone

Why bromoethane are insoluble, Why bromoethane are insoluble Because on...

Why bromoethane are insoluble Because only two layers form, two of the three substances are mutually soluble. we know that water and bromoethane are insoluble-they form two lay

How nomenclature would be easy to do?, 1.First find the maximum number of c...

1.First find the maximum number of carbons chain.Give it to as a parent name. 2.Next find functional groups and give numbering.(Functional group must get minimum number) 3.Ne

Geopolymer.., i need email tutor who has good background on geopolymer ceme...

i need email tutor who has good background on geopolymer cement to explain it for me such as the geopolymerisation process and fly ash composition by skype or Yahoo or hotmail i ne

Show occurrence extraction of group 16, Q. Show Occurrence Extraction of gr...

Q. Show Occurrence Extraction of group 16? Oxygen is the most abundant of all elements on earth. Dry air contains 20.946% oxygen by volume in the free form. Oxygen forms about

Classic flame photometric experiment, Classic flame photometric experiment:...

Classic flame photometric experiment: In a classic flame photometric experiment, a solution of the analyte is aspirated within the burner and dispersed into the flame as a fin

Write Your Message!

Captcha
Free Assignment Quote

Assured A++ Grade

Get guaranteed satisfaction & time on delivery in every assignment order you paid with us! We ensure premium quality solution document along with free turntin report!

All rights reserved! Copyrights ©2019-2020 ExpertsMind IT Educational Pvt Ltd