Determine the distance of application of the load, Mechanical Engineering

Assignment Help:

Determine the distance of application of the load:

A rigid bar of negligible weight transmits a load W to a combination of 3 springs as illustrated in Figure. The three springs are built of the similar material and are of equal diameters. They are of the similar length before loading. The number of coils in three springs are 10, 12 and 15 respectively, when the mean radii of coils are in the proportion 1 : 1.2 : 1.5 respectively. Determine the distance x such that the rigid bar remains horizontal after the application of the load.

1726_Determine the distance of application of the load.png

Figure

Solution

As the springs are in parallel, Δ is simialr.

W1  + W2  + W3  = W ---------- (1)

G is similar, d is same.

R2  = 1.2 R1

R3  = 1.5 R1

n1  = 10; n2  = 12; n3  = 15

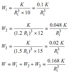
Δ= 64 W R3 n/ Gd 4

⇒         W = Δ Gd 4/64 R3 n

W  =     K/ K R3 n

750_Determine the distance of application of the load1.png

The FBD of bar illustrated in Figure

695_Determine the distance of application of the load2.png

Figure

 Now, taking moments around A,

W . x = W2 × l + W3  × 2l

⇒ 0.168 × x = 0.048 × l + 0.02 × 2l

∴ x = 0.52 l


Related Discussions:- Determine the distance of application of the load

Illustrates the effect of wall movement on earth pressure, Illustrates abou...

Illustrates about the effect of wall movement on earth pressure? Effect of wall movement on earth pressure About fifty years ago Terzaghi conducted a series of tests on larg

Sand blasting, Sand Blasting: Historically sand blasting was operated ...

Sand Blasting: Historically sand blasting was operated with only using sand only as abrasive media. Today the advance of technologies had brought manufacturer more variety in

Find out angular displacement of a partical, Find out angular displacement ...

Find out angular displacement of a partical: The angular displacement of a rotating body starting from rest is defined by φ (t ) = 4 t 3   - 3 t 2 . Find out its angular di

Determining the largest eigenvalue, The Power Method is a classic numerical...

The Power Method is a classic numerical algorithm for determining the largest eigenvalue and eigenvector associated with a matrix A. Write a matlab function that returns the larges

Effects of air resistance. , Traveling at a speed of 16.0 m/s, the driver o...

Traveling at a speed of 16.0 m/s, the driver of an automobile suddenly locks the wheels by slamming on the brakes. The coefficient of kinetic friction between the tires and the roa

What is a positive displacement pump, A positive displacement pump is a liq...

A positive displacement pump is a liquid or gas to move by trapping a fixed amount of fluid or gas and then forcing (displacing) that trapped volume into the discharge pipe. Positi

Find out the velocity of the bullet, Find out the velocity of the bullet: ...

Find out the velocity of the bullet: A bullet of weight W 1   = 5 N is fired into a body B 2 of weight W 2   = 45 N suspended by a string of length L = 1 metres. Because of i

Heat exchangers for plant design, Q. Heat exchangers for plant design? ...

Q. Heat exchangers for plant design? All exchangers shall be arranged to be readily dismantled for cleaning and maintenance. Cooling and heating streams generally flow against

Brazing vs welding, Brazing Vs Welding Following are the differences be...

Brazing Vs Welding Following are the differences between brazing and welding. (i)  In brazing, the joint surfaces are not raised to fusion point (or melted) and the joint is

Magnetic field system employed in electromechanical devices, Q.   Why are m...

Q.   Why are magnetic field system employed in practical electromechanical energy conversion devices rather than electric field systems? Ans. In case of magnetic field sys

Write Your Message!

Captcha
Free Assignment Quote

Assured A++ Grade

Get guaranteed satisfaction & time on delivery in every assignment order you paid with us! We ensure premium quality solution document along with free turntin report!

All rights reserved! Copyrights ©2019-2020 ExpertsMind IT Educational Pvt Ltd