Torque carried by the hollow shaft, Mechanical Engineering

Assignment Help:

Torque carried by the hollow shaft:

A hollow and a solid shaft of similar material have the same weight when the inner diameter of the hollow shaft is half its outer diameter. What shall be the torque carried by the hollow shaft if the solid shaft may carry a torque T for alike maximum shearing stress in both of the shafts.

Solution

For hollow shaft, di  =  do /2

∴  921_Torque carried by the hollow shaft.png

 

∴ Shearing stress on surface

 1949_Torque carried by the hollow shaft1.png ---------------- (i)

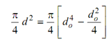
For alike material and alike weight of hollow and solid shafts

1345_Torque carried by the hollow shaft2.png

i.e.  2357_Torque carried by the hollow shaft3.png  ----------- (ii)

If on solid shaft torque T induces maximum stress τh on surface, then

τhm = 16T / π d3

Utilizing d from Eq. (ii)

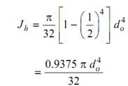
   2082_Torque carried by the hollow shaft4.png-------------------- (iii)

Equating τhm from Eqs. (i) and (iii)

1208_Torque carried by the hollow shaft5.png

Th  = (0.9375/0.625 )T

 = 1.442 T

Hollow shaft shall carry 44.2% more torque if two shafts weigh equal and are subjected to similar surface stress.


Related Discussions:- Torque carried by the hollow shaft

Maximum slope and maximum deflection, Maximum slope and maximum deflection:...

Maximum slope and maximum deflection: A simply supported beam of span l is subjected to two concentrated loads at one-third span through two supports. Discover the maximum slo

Internal energy - thermodynamics, Internal Energy (U): It is the energ...

Internal Energy (U): It is the energy possessed by the system on account of its configurations, and motion of atoms and molecules. Not like potential energy and kinetic energy

Compaction-manufacturing methods of ceramics, Compaction This is carri...

Compaction This is carried out in several manners that might occupy the addition of a binder or lubricant and application of pressure. Sintering is densification of assembled

Explain macroscopic approach - thermodynamics, Explain Macroscopic Approach...

Explain Macroscopic Approach - Thermodynamics 1. In this method a fixed quantity of matter is considered without taking into account the events taking place at molecular level.

Evaluate the acceleration of the three weights, Evaluate the acceleration o...

Evaluate the acceleration of the three weights: A system of weight connected by the string passing over pulleys A and B is shown in figure given below. Find out acceleration

Motion of the boat, Motion of the boat:  (i) A man having weighs 500 N...

Motion of the boat:  (i) A man having weighs 500 N and is in a boat weighing 1500 N which is free to move over a steady lake. If he begins running along the length of the boat

What are the alluvial sediments, What are the Alluvial sediments Alluvi...

What are the Alluvial sediments Alluvial sediments are characterized by stratification or layering and fine grained soil layers have higher compressibility as compared to coars

Find out the acceleration of the mass centre, Find out the Acceleration of ...

Find out the Acceleration of the mass centre: A wheel of mass 200 kg and a diameter of 700 mm rolls without slipping down a plane inclined at an angle of 20 o with the horizo

Evaluate the shear plane angle, In an orthogonal cutting process, following...

In an orthogonal cutting process, following data were taken. Chip length of 80mm was obtained with an uncut chip length of 200mm and the rake angle used was20 degrees and depth of

Evaluate the exit velocity, A perfect gas flows through a nozzle when it ex...

A perfect gas flows through a nozzle when it expends in a reversible adiabatic manner, the inlet conditions are 22 bar,, 500 o c, 38 m/s. At exit the pressure is 2 bar. Evaluate th

Write Your Message!

Captcha
Free Assignment Quote

Assured A++ Grade

Get guaranteed satisfaction & time on delivery in every assignment order you paid with us! We ensure premium quality solution document along with free turntin report!

All rights reserved! Copyrights ©2019-2020 ExpertsMind IT Educational Pvt Ltd