Compute the ratio of the torque, Mechanical Engineering

Assignment Help:

Compute the ratio of the torque:

Compute the ratio of the torque transmitted by a hollow & a solid shaft of the similar material, length & weight.

Solution

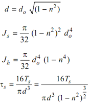
di = internal diameter of hollow shaft

 d0 = external diameter of hollow shaft

d = diameter of solid shaft

Similar material means modulus of rigidity and density is similar. The weight being equal means the cross-sectional areas of solid & hollow shafts are similar:

i.e.

1244_Compute the ratio of the torque.png

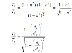
where

∴  n = di / do

d = do

550_Compute the ratio of the torque1.png

τs = 16Ts / π d 3 =  16Ts / π d 3 (1 - n2 ) (3/2)

2362_Compute the ratio of the torque2.png

For same material τs = τh

 ∴         Ts    /(1 - n2 ) (3/2)   =Th/(1 - n4 )2

288_Compute the ratio of the torque3.png


Related Discussions:- Compute the ratio of the torque

Contrary to the misconception, Contrary to the misconception that the grow...

Contrary to the misconception that the growth in automobile industry has catered only to the higher income-stratum of society by producing mostly passenger cars, the fastest growt

Calculate the angle of heel, a) Derive a mathematical expression for stabil...

a) Derive a mathematical expression for stability of an automobile while accelarating in a curved path? b) A motorcycle and its rider together have a mass of 250Kg and their cen

State the need and function of foundation, Need and Function of Foundation ...

Need and Function of Foundation A foundation can be defined as that part of a structure which serves to transmit the forces and moments coming from the structure above the gro

Calculate the whole reaction at block, Calculate the whole reaction at bloc...

Calculate the whole reaction at block: A bar weighing 1 kg/m is bent at right angles into segments 0.60 m and 0.30 m long. It takes the position illustrated in Figure, while t

Material and tribology, The Cu-Sb system contains 2 eutectics, 1 eutectoid,...

The Cu-Sb system contains 2 eutectics, 1 eutectoid, 1 peritectic and 1 peritectoid. Mark them all on the figure, write down the temperature and composition of each point, and ident

Determine the actual absolute velocity, Question: As shown in the figur...

Question: As shown in the figure, the jet transport B is flying north with a velocity v B = 600 km/h when a smaller aircraft A passes underneath the transport headed in the 60

Force on rigid body - non rigid body, Force on Rigid body - Non Rigid body:...

Force on Rigid body - Non Rigid body: As Rigid body cannot change its shape on application of any force, It will begin moving in the direction of applied force without any

State about the caisson foundations, Caisson foundations Caisson founda...

Caisson foundations Caisson foundations are similar to wells, but are much large in size. They are of different types, closed end, open ended and of pneumatic type. Figure show

Movement of wire at the signal box, Movement of wire at the signal box: ...

Movement of wire at the signal box: The wire working on railway signal is 5mm in diameter and 300m long. If movement at the signal end is to be 25cm, make calculations for mo

Cell control and modeling, Cell Control And Modeling   Various numbers...

Cell Control And Modeling   Various numbers of modeling systems and cell control have been developed to date. Researchers have worked many on three broad regions: scheduling;

Write Your Message!

Captcha
Free Assignment Quote

Assured A++ Grade

Get guaranteed satisfaction & time on delivery in every assignment order you paid with us! We ensure premium quality solution document along with free turntin report!

All rights reserved! Copyrights ©2019-2020 ExpertsMind IT Educational Pvt Ltd