Computational study of a spring-mass system, Computer Engineering

Assignment Help:

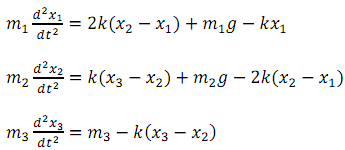
Idealized spring-mass systems have numerous applications throughout engineering. Fig.1 shows an arrangement of three masses and four springs which, after is released, is pulled downward by the force of gravity. The springs are made of the same homogeneous, isotropic, linear elastic solid material. This means that the springs are identical  and follow Hooke's law (the strain-stress constitutive curve is a straight line of slope ). The system of ordinary differential equations satisfied by this system follows from Newton's second law of motion: 

2325_Computational Study of a Spring-Mass System.png

where is the gravitational acceleration, are the masses, is the spring constant of elasticity (also known as the Young's modulus), and are the displacements of the masses.


Related Discussions:- Computational study of a spring-mass system

What is null pointer, What is NULL POINTER Inside main, a FILE * called...

What is NULL POINTER Inside main, a FILE * called file. Afterwards, the fopen function, passing it the path to data file, as well as "r", only intending to read from the file.

Use of arrays in assembly, An array is referencing using a base array value...

An array is referencing using a base array value as well as an index. To simplify addressing in arrays 8086 has provided two index registers for mathematical computations viz. BP a

What is minimum spanning tree, Minimum Spanning Tree: Given a weighted gra...

Minimum Spanning Tree: Given a weighted graph G, it is often desired to make a spanning tree T for G, like the sum of weights of the edges in T is the least. Like tree is known as

What is dithering, Q. What is Dithering? CMYK provides only 8 colours (...

Q. What is Dithering? CMYK provides only 8 colours (C, M, Y K, Violet= C + M, Orange= M + Y, Green = C + Y, and colour of paper itself!). What about other colours?  For these t

Explain data rates in public switched telephone network, Explain data rates...

Explain data rates in public switched telephone network. Data rates in PSTNs : A voice channel in a public switched telephone network is band restricted with a nominal bandwid

State the relative addressing, State the Relative addressing The locati...

State the Relative addressing The location of data is specified relative to current value of the program counter. This is helpful for specifying location of data which is given

What is loadrunner, LoadRunner works by making virtual users who take the p...

LoadRunner works by making virtual users who take the place of real users operating client software, such as sending requests using the HTTP protocol to IIS or Apache web servers.

Exdplain instruction buffers, Instruction buffers For taking the comple...

Instruction buffers For taking the complete advantage of pipelining pipelines must be filled continuously. So instruction fetch rate must be matched with pipeline consumption r

Which memory can not be accessed randomly, Which of following can not be ac...

Which of following can not be accessed randomly DRAM, SRAM, ROM or Magnetic tape ? Ans. Magnetic tape cannot be accessed randomly; it can only be accessed sequentially.

Objectives of information distribution, Objectives After studying this ...

Objectives After studying this unit you should be able to: 1. list various types of reprographic methods, 2. describe uses of various kinds of typewriters, 3. explain

Write Your Message!

Captcha
Free Assignment Quote

Assured A++ Grade

Get guaranteed satisfaction & time on delivery in every assignment order you paid with us! We ensure premium quality solution document along with free turntin report!

All rights reserved! Copyrights ©2019-2020 ExpertsMind IT Educational Pvt Ltd