Laplace transforms

Assignment Help Mathematics
Reference no: EM131660

Question 1

Calculation of a Laplace Transform from first principles.

Write a comment in each of the boxes, to explain the step indicated by the connected arrow.

You should write the comments so that they would be useful to a student who is learning this material for the first time. Imagine that this student is finding the topic a bit difficult, and is the kind of person who likes to understand the details.

- Fill in the blue dashed-line rectangles, and sketch the graphs as requested by the blue arrows. 

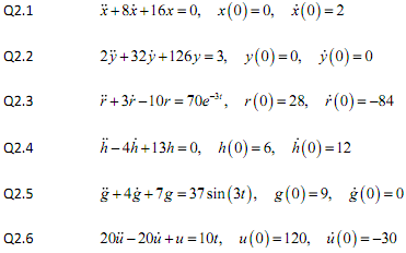
Question 2

521_Laplace Transforms.png

Reference no: EM131660

Questions Cloud

Determine expected payment : Determine expected payment
Solve the partial derivative : Solve the partial derivative
Analysis of a proposed soda tax : What does the market for sugary sodas look like?  Provide a supply-demand graph with realistic prices.
Write a program for find greatest common divisor : Write code for a recursive implementation of Euclid's algorithm
Laplace transforms : Calculation of a Laplace Transform from first principles
Benchmarking : What is the need for benchmarking?
Market research report : Market Research Report
Evaluate the fibonacci series : Write a program to evaluate the first 20 numbers of Fibonacci series.
Prepare a power curve for this decision rule : Prepare a power curve for this decision rule

Reviews

Write a Review

Mathematics Questions & Answers

  Questions on ferris wheel

Prepare a Flexible Budget Gator Divers is a company that provides diving services such as underwater ship repairs to clients in the Tampa Bay area.

  Logistic map

This assignment has two question related to maths. Questions are related to bifurcation cascade and logistic map.

  Finding the probability of cards

This assignment has questions related to probabiltiy.

  Systems of ode

Find all the xed points, and study their stability and Draw the phase portrait of the system, as well as the graphs of the solutions in all relevant cases.

  Derive the boolean expression

Derive the Boolean Expression and construct the switching circuit for the truth table stated

  System of equations

Evaluate which equations are under-identified, just-identified, and over-identified.

  Linear programming problem

Linear programming problem consisting of only two constraints with one objective function.

  Find the natural domain

Find the natural domain of the given functions.

  Introduction to numerical methods

Compute the coecients of the polynomials using the term recurrence relation.

  Chart of the topological manifold

De?nition of smoothness of functions on a smooth manifold is chart independent and hence geometric.

  Mathematics in computing

Questions related on mathematics in computing.

  Complex problems

Complex problems

Free Assignment Quote

Assured A++ Grade

Get guaranteed satisfaction & time on delivery in every assignment order you paid with us! We ensure premium quality solution document along with free turntin report!

All rights reserved! Copyrights ©2019-2020 ExpertsMind IT Educational Pvt Ltd