Formulate and solve the problem for any fixed value

Assignment Help Mathematics
Reference no: EM131567498

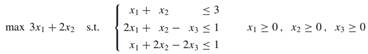
Question: Consider the LP problem

323_10.png

(a) Suppose x3 is a fixed number. Solve the problem if x3 = 0 and if x3 = 3.

(b) Formulate and solve the problem for any fixed value of x3 in [0,∞). The maximal value of 3x1 + 2x2 becomes a function of x3. Find this function and maximize it.

(c) Do the results in part (b) say anything about the solution to the original problem, in which x3 can also be chosen?

Reference no: EM131567498

Questions Cloud

Liquidity shock on bank jumbo mortgage lending : As you read The Impact of the 2007 Liquidity Shock on Bank Jumbo Mortgage Lending, focus on the following risk scenarios:
Probability of positive net present value : Based on history, there is an .60 probability of a positive net present value when competitors do not respond to our introduction of a new product.
Is it possible to not have change in an organization : What does the term managing organizational change mean to you? Is it possible to not have change in an organization?
Appropriate policy preferences and opinions : Is it possible for uninformed (and under-informed) individuals to use "shortcuts" to still develop meaningful and appropriate policy preferences and opinions?
Formulate and solve the problem for any fixed value : Do the results in part (b) say anything about the solution to the original problem, in which x3 can also be chosen?
The annual net income break-even level of sales : Doug’s Doughnuts and Gourmet Coffee is considering a new store location. The annual net income break-even level of sales.
Role of ethics culminating in a strategic framework : Identify and discuss the strategic role of ethics culminating in a strategic framework?
Create a brand new employee orientation program : Assume you are tasked as an HR Director to establish a strategy to create a brand new employee orientation program.
Homeless man vs homeless child social experiment : Considering the concepts covered in chapter 1, was the public faced with an ethical dilemma regarding how to treat these two individuals?

Reviews

Write a Review

Mathematics Questions & Answers

  Questions on ferris wheel

Prepare a Flexible Budget Gator Divers is a company that provides diving services such as underwater ship repairs to clients in the Tampa Bay area.

  Logistic map

This assignment has two question related to maths. Questions are related to bifurcation cascade and logistic map.

  Finding the probability of cards

This assignment has questions related to probabiltiy.

  Systems of ode

Find all the xed points, and study their stability and Draw the phase portrait of the system, as well as the graphs of the solutions in all relevant cases.

  Derive the boolean expression

Derive the Boolean Expression and construct the switching circuit for the truth table stated

  System of equations

Evaluate which equations are under-identified, just-identified, and over-identified.

  Linear programming problem

Linear programming problem consisting of only two constraints with one objective function.

  Find the natural domain

Find the natural domain of the given functions.

  Introduction to numerical methods

Compute the coecients of the polynomials using the term recurrence relation.

  Chart of the topological manifold

De?nition of smoothness of functions on a smooth manifold is chart independent and hence geometric.

  Mathematics in computing

Questions related on mathematics in computing.

  Complex problems

Complex problems

Free Assignment Quote

Assured A++ Grade

Get guaranteed satisfaction & time on delivery in every assignment order you paid with us! We ensure premium quality solution document along with free turntin report!

All rights reserved! Copyrights ©2019-2020 ExpertsMind IT Educational Pvt Ltd