Cauchy-riemann equations

Assignment Help Mathematics
Reference no: EM13587

Problem A

Describe clearly the geometric object determined by the condition.

798_Cauchy-Riemann equations.png

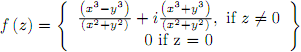
Problem B

Show that 150_Cauchy-Riemann equations1.pngsatisfies the Cauchy-Riemann equations at z = 0, but is not analytic there.

Problem C

Evaluate the integral 1720_Cauchy-Riemann equations2.png where C is the straight line from z = i to z = 1.

Reference no: EM13587

Questions Cloud

Advantage of corrosion resistance biomaterials : What is the advantage of Corrosion resistance biomaterials
Use of pcr and genetic approaches in biotechnology : The use of PCR and genetic approaches in biotechnology
Currency conversion application : The program displays the equivalent dollar amount and returns the user to the menu until he or she enters another conversion or quits the program.
Cauchy-riemann equations : Satisfies the Cauchy-Riemann equations
Top-down modular approach to design : The top-down modular approach and pseudocode to design a suitable program
Complex problems : Complex problems
Create a cad model of the planar robot : Create a CAD model of the planar robot
Mathematics in computing : Questions related on mathematics in computing.

Reviews

Write a Review

Mathematics Questions & Answers

  Questions on ferris wheel

Prepare a Flexible Budget Gator Divers is a company that provides diving services such as underwater ship repairs to clients in the Tampa Bay area.

  Logistic map

This assignment has two question related to maths. Questions are related to bifurcation cascade and logistic map.

  Finding the probability of cards

This assignment has questions related to probabiltiy.

  Systems of ode

Find all the xed points, and study their stability and Draw the phase portrait of the system, as well as the graphs of the solutions in all relevant cases.

  Derive the boolean expression

Derive the Boolean Expression and construct the switching circuit for the truth table stated

  System of equations

Evaluate which equations are under-identified, just-identified, and over-identified.

  Linear programming problem

Linear programming problem consisting of only two constraints with one objective function.

  Find the natural domain

Find the natural domain of the given functions.

  Introduction to numerical methods

Compute the coecients of the polynomials using the term recurrence relation.

  Chart of the topological manifold

De?nition of smoothness of functions on a smooth manifold is chart independent and hence geometric.

  Mathematics in computing

Questions related on mathematics in computing.

  Complex problems

Complex problems

Free Assignment Quote

Assured A++ Grade

Get guaranteed satisfaction & time on delivery in every assignment order you paid with us! We ensure premium quality solution document along with free turntin report!

All rights reserved! Copyrights ©2019-2020 ExpertsMind IT Educational Pvt Ltd