What is chlorophyll, Chemistry

Assignment Help:

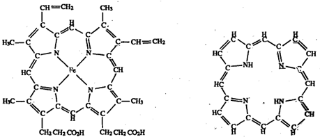
Q. What is chlorophyll?

A magnesium complex of porphyrin is called chlotophyll. the green colouring material in plants and which is essential  for photosynthesis.

Hemoglobin, plays the role of oxygen carrier in mammalian blood. In hemoglobin Fe2+ ion is not only surrounded by four nitrogens of porphyrin but the fifth position is occupied by nitrogen of the protein as shown in Fig.

548_What is chlorophyll.png


Related Discussions:- What is chlorophyll

Unity of hardnes, write the different units of hardness with their relatio...

write the different units of hardness with their relationship

Covalent bonding, Covalent Bond Purely electrostatic attractions between...

Covalent Bond Purely electrostatic attractions between ions are nondirectional, but with increasing covalent character the directional properties of valence orbitals become more

Can you describe cream foams, Q. Can you describe Cream Foams? Cream, w...

Q. Can you describe Cream Foams? Cream, with a fat content of at least 30 per cent, can be beaten to form foam. However, it is observed that a cream with 36 per cent fat can be

Benzene, between nitrobenzene and phenol which is more reactive towards chl...

between nitrobenzene and phenol which is more reactive towards chlorine and why? Upon reaction with chlorine what products can be formed from the two reactions.

Purification and nomenclature of organic compound, Modern Meaning of Organi...

Modern Meaning of Organic Chemistry Organic chemistry is a chemistry of hydrocarbons and their derivatives where covalently bonded carbon is a necessary constituent. Berzelius

Purification of organic compounds., How will do project work on purificatio...

How will do project work on purification of organic compounds by crystalization and distillation from water and alcohol?

Oxides of boron and aluminium, All the elements of Group 13 form trioxides ...

All the elements of Group 13 form trioxides also known as sesquioxides of the  formula, M 2 O 3 . Thallium forms stable Tl 2 0 also. The basic character of oxides increases down th

Eqivalent weight of an element, what is n-factor and what is the formula fo...

what is n-factor and what is the formula for calculating it

Preparation of hot souffle?, Q. Preparation of hot souffle ? i) Melt 1...

Q. Preparation of hot souffle ? i) Melt 12 g butter in a saucepan. Add 12 g flour and stir cook for 1-2 minutes. ii) Gradually add ¼ cup of scalded milk stirring continuou

Antihistamines - drugs and medicines, Antihistamines: Antihistamines ar...

Antihistamines: Antihistamines are chemical substances that abolish/diminish the major actions of histamine released in the body and therefore avoid the allergic effects. Alter

Write Your Message!

Captcha
Free Assignment Quote

Assured A++ Grade

Get guaranteed satisfaction & time on delivery in every assignment order you paid with us! We ensure premium quality solution document along with free turntin report!

All rights reserved! Copyrights ©2019-2020 ExpertsMind IT Educational Pvt Ltd