Free radical aromatic substitution - hydrocarbon, Chemistry

Assignment Help:

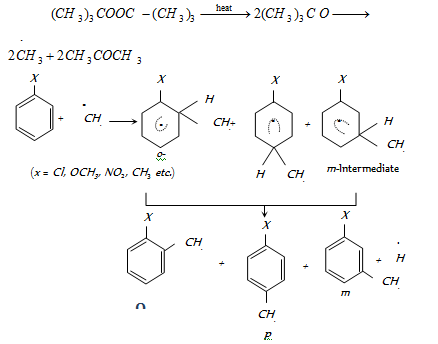
Free radical aromatic substitution - Hydrocarbon

The aromatic substitution reactions that follow free radical mechanisms are extremely few and have limited synthetic value. Although some typical illustartions of these reactions are: 

1482_Free radical aromatic substitution.png

The method of chlorination of benzene at high temperature is identical to that of the free radical aliphatic substitution

Cl2 → Cl + Cl (Chain initiation)

C6H6 + Cl → C6H5+HCl (H- abstraction)

C6H5 + Cl2 → C6H5Cl + Cl (Chain propagation)


Related Discussions:- Free radical aromatic substitution - hydrocarbon

Show colloidal systems in foods, Q. Colloidal systems in foods? A collo...

Q. Colloidal systems in foods? A colloidal system is a heterogeneous system. The material that forms the base of the system is called the dispersion medium or the continuous ph

Define standard feat of formation, The quantity of heat liberated of absorb...

The quantity of heat liberated of absorbed when one mole of compound is formed in its standard state from its elements in their standard state is known as standard heat of formatio

Calculate the force constant of cf4 and sif4, Calculate the force constant ...

Calculate the force constant of CF4 and SiF4 and compare their relative strengths with each other.   The heats of formation of CF 4 and SiF 4 are -1222 kJmol -1 and -1615

Safety in the laboratory, Laboratory safety During your observation of che...

Laboratory safety During your observation of chemistry you will conduct experiments in the laboratory. When working in the lab you are accountable for the safety of yourself and o

Difference between oraganic and inoraganic compounds, An organic compound i...

An organic compound is any member of a large class of chemical compounds which molecules have carbon and hydrogen; thus, carbides, carbonates, carbon oxides and elementary carbon

Explain interval scales, Interval Scales An alternative approach is to...

Interval Scales An alternative approach is to rate liking on a proper interval scale or on a continuous line - scale, with only the ends  of the scale being labeled "  extreme

Experiment on archimedes'' principle, Experiment on Archimedes'  principle...

Experiment on Archimedes'  principle Solder a cycle valve to single half of a copper ball tap float. Load inside the other half with lead or lead shot unless the whole just flo

Show the basic characteristics of organic compounds, Q. Show the basic Char...

Q. Show the basic Characteristics of Organic Compounds? Ans. Almost all organic compounds contain the elements of hydrogen and carbon. These compounds often contain

Simple molecular orbital description of diborane, Q. Simple molecular orbit...

Q. Simple molecular orbital description? we can give a simple molecular orbital description of bonding in B 2 H 6 as follows. Each boron atom is sp 3 hybrid giving four sp 3

Mention the sampling stages of shelf life evaluation, Q. Mention the sampli...

Q. Mention the sampling stages of shelf life evaluation? The sampling stages of shelf life evaluation are: Experimental kitchen or pilot plant batch, full scale factory batch a

Write Your Message!

Captcha
Free Assignment Quote

Assured A++ Grade

Get guaranteed satisfaction & time on delivery in every assignment order you paid with us! We ensure premium quality solution document along with free turntin report!

All rights reserved! Copyrights ©2019-2020 ExpertsMind IT Educational Pvt Ltd