Forward elimination, MATLAB in Engineering

Assignment Help:

Forward elimination:

In forward elimination, we want to obtain a 0 in the a21 position. To accomplish this, we can alter the second line in the matrix by subtracting from it 2 * the first row.

In this way we would write this ERO as:

643_Forward elimination.png

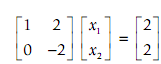
Now, placing it back in the matrix equation form:

1185_Forward elimination1.png

It says that the second equation is now -2x2 = 2 therefore x2 = -1. Now put it into the first equation:

x1 +  2(-1) = 2, and hence  x1 = 4.

This is known as the back-substitution.


Related Discussions:- Forward elimination

Example to change the line width from the default, Example to change the li...

Example to change the line width from the default: For illustration, to change the line width from the default of 0.5 to 1.5: >> set(hl,'LineWidth',1.5) As long as the

Reduced row echelon form, Reduced Row Echelon Form: The Gauss Jordan t...

Reduced Row Echelon Form: The Gauss Jordan technique results in a diagonal form; for illustration, for a 3 × 3 system: The Reduced Row Echelon Forms take this one step

Binary search, Binary Search: The binary search supposes that the vect...

Binary Search: The binary search supposes that the vector has been sorted first. The algorithm is just similar to the way it works whenever looking for a name in a phone direc

Example of menu driven modular program, Example of Menu driven modular prog...

Example of Menu driven modular program: As an illustration of such a menu-driven program, we will write a program to discover the constant e. The constant e, known as the n

Indexing into vectors of structures, Indexing into Vectors of structures: ...

Indexing into Vectors of structures: Frequently, when the data structure is a vector of structures, it is essential to iterate through the vector in order by various fields. F

For loops - iterator variable, For Loops which do not use an iterator Vari...

For Loops which do not use an iterator Variable in the action: In all the illustrations that we seen so far, the value of the loop variable has been used in same way in the ac

Finding a sting - function strfind, Finding a sting - function strfind: ...

Finding a sting - function strfind: The function strfind does necessarily similar thing, except that the order of the arguments does make dissimilarity. The common form is str

Use of nested if-else statements, Use of Nested if-else statements: By...

Use of Nested if-else statements: By using the nested if-else to select from among the three possibilities, not all the conditions should be tested. In this situation, if x is

Removing whitespace characters, Removing Whitespace Characters: The MA...

Removing Whitespace Characters: The MATLAB has functions which will eliminate trailing blanks from the end of a string and/or leading blanks from the starting of a string.

Reading from a file in a while loop, Reading from a File in a While Loop: ...

Reading from a File in a While Loop: Though in most languages the combination of a loop and an if statement would be essential to determine whether or not the elements in a ve

Write Your Message!

Captcha
Free Assignment Quote

Assured A++ Grade

Get guaranteed satisfaction & time on delivery in every assignment order you paid with us! We ensure premium quality solution document along with free turntin report!

All rights reserved! Copyrights ©2019-2020 ExpertsMind IT Educational Pvt Ltd