Find out ratio of upper end area to lower end area of bar, Mechanical Engineering

Assignment Help:

Find out ratio of  upper end area to lower end area  of bar of uniform strength

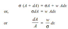
Sol: The figure given to us shows a bar subjected to external tensile load P. If bar had been of uniform cross- section, tensile stress intensity at any section would be constant if the self weight of member is ignored. If weight of the member is considered, the intensity of stress increases for sections at the higher level. It is possible to maintain uniform stress of all the sections by increasing area from lower end to upper end. Let the areas of upper and lower ends be A1 and A2. Let A be area at distance x and A + dA at a distance x + dx from lower end. Let weight per unit volume be w Making force balance for the element ABCD.

1580_Find out ratio of upper end area to lower end area of bar.png 

1863_Find out ratio of upper end area to lower end area of bar1.png  
  Assuming w and s to be uniform

214_Find out ratio of upper end area to lower end area of bar2.png


Related Discussions:- Find out ratio of upper end area to lower end area of bar

Evaluation of machine design, With the help of diagram , depict the evaluat...

With the help of diagram , depict the evaluation of Machine Design. Discuss in detail Technical feasibility, finanacial and economic feasibility, social and environmental feasib

Illustrate different methods of merit rating, a) What are essential needs o...

a) What are essential needs of a job evaluation plan. Illustrate the point plan method b) Describe factor comparison method of job evaluation. a) What are basic objectives an

Functions of geometric modeling, Q. Functions of geometric modeling? De...

Q. Functions of geometric modeling? Design Analysis • Evaluation of area, volume, mass and inertia properties. • Interference checking in assemblies. • Analysis of

Describe soldering, Soldering Soldering is defined as a metal joining...

Soldering Soldering is defined as a metal joining process wherein coalescence is produced by heating the surfaces to be joined to a suitable temperature and melting the fille

Fourth gear position - shifting of gear, Fourth Gear Position: When g...

Fourth Gear Position: When gear M4 on the main shaft is in mesh with gear C4 on the countershaft then this is known as fourth gear position. The free gear M4 rotates with the

Different relations used in belt drive, Q. W rite different relations used...

Q. W rite different relations used in belt drive. Sol: Let: D 1 = Diameter of driver N 1 = Speed of the driver in Rotation per minute D 2 = Diameter of the driv

Engine misfires motorcycle problem, If Engine Misfires Cau...

If Engine Misfires Causes of Problem Remedy Incorrect Electrode gap of spark plug Electrode worn out Foule

Determine the average time in the queue, A machine machines parts in exactl...

A machine machines parts in exactly 1.5 minutes. The machine requires tool change according to an exponential distribution with a mean of 12 minutes between occurrences. The tool c

Stress concentrations, Describe the test specimens that were used in the te...

Describe the test specimens that were used in the testing program, and what one hopes to learn by testing them. Show the "test matrix" (i.e. a listing of what specimens made of wh

Write Your Message!

Captcha
Free Assignment Quote

Assured A++ Grade

Get guaranteed satisfaction & time on delivery in every assignment order you paid with us! We ensure premium quality solution document along with free turntin report!

All rights reserved! Copyrights ©2019-2020 ExpertsMind IT Educational Pvt Ltd