Expression for normal and shear stress, Mechanical Engineering

Assignment Help:

Expression for normal and shear stress:

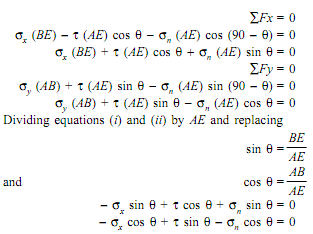
Derive expression for normal and shear stress on the plane AE inclined at an angle B with AB subjected to the direct stresses of compressive nature (both) of σx and  σy on 2 mutually

perpendicular stresses as shown in the figure given below.
 
Sol.: Consider unit thickness of element. Applying the equations of equilibrium to free body diagram of wedge ABE.

1122_Expression for normal and shear stress.png

Let σn and  τ be normal and shear stresses on plane AE.
67_Expression for normal and shear stress1.png 
By multiplying the equation (iii) by sin θ, (iv) by cos θ and subtracting
505_Expression for normal and shear stress2.png 
Also by multiplying equation (iii) by cos θ and 4 by sin θ and then adding.
1161_Expression for normal and shear stress3.png


Related Discussions:- Expression for normal and shear stress

Alloy steels, Alloy Steels: Carbon steels in their commercial forms al...

Alloy Steels: Carbon steels in their commercial forms all times comprise specific amounts of other elements. A lot of of these elements enter the steel from the ores and it is

Evaluate the deflection at the free end of the cantilever, Evaluate the def...

Evaluate the deflection at the free end of the cantilever: Discover the slope and deflection at the free end of the cantilever illustrated in Figure . Take EI = 200 × 10 6 N-

Positive amount of capital, A paint manufacturing company has a manufacter ...

A paint manufacturing company has a manufacter function Q = K+ √L. For this manufacter function MPK = 1 and MPL = 1=(2√L). The rm faces a price of labor w that equivalent $1 per u

Example of simple exponential smoothing, Example of simple exponential smoo...

Example of simple exponential smoothing: A TV manufacturer utilizes simple exponential smoothing with α = 0.1 to forecast demand. For the first week of March, the forecast was

Static friction, Static Friction: When applied force is less than limiting...

Static Friction: When applied force is less than limiting friction, body remains at rest and this type of frictional force is called as static friction and this law is called as l

Give the basic concept of heat engine, (a) Can you explain the limitations ...

(a) Can you explain the limitations of 1 s t law of thermodynamics ? Describe thermal energy Reservoir, heat sink and heat source. (b) Give the basic concept of Heat Engine, Ref

Determine the maximum stress in the beam, For the beam shown below, we need...

For the beam shown below, we need to determine: (i) The support reactions R L and R R                                                                            (ii) The s

Fault detection and isolation for lateral flight of an uav, Introduction   ...

Introduction   Fault tolerance is very important for aircraft flight control.  The majority of the faults occur in the sensors and actuators onboard the aircraft.  Once a fault

Determine the average time in the queue, A machine machines parts in exactl...

A machine machines parts in exactly 1.5 minutes. The machine requires tool change according to an exponential distribution with a mean of 12 minutes between occurrences. The tool c

Mechanical design and development, The major assignment for the unit is to ...

The major assignment for the unit is to design the final drive for the F-SAE race car. This is a group project to be completed with groups of up to 5 people. The design should be r

Write Your Message!

Captcha
Free Assignment Quote

Assured A++ Grade

Get guaranteed satisfaction & time on delivery in every assignment order you paid with us! We ensure premium quality solution document along with free turntin report!

All rights reserved! Copyrights ©2019-2020 ExpertsMind IT Educational Pvt Ltd