Explain negative hyper geometric distribution, Advanced Statistics

Assignment Help:

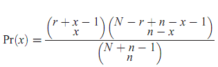
Negative hyper geometric distribution: In sampling without replacement from the population comprising of r elements of one kind and N - r of another, if two elements corresponding to which selected are replaced every time, then the probability of finding x elements of first kind in a random sample of n elements can be given as follows

606_negative hypergeometric distribution.png 

The mean of distribution can be given as Nr/N and the variance can be given as follows (nr/N)(1-r/N)(N+n)/(N+1).

It corresponds to the beta binomial distribution with the integral parameter values.  


Related Discussions:- Explain negative hyper geometric distribution

Probit analysis, Probit analysis  is the technique most commonly employed i...

Probit analysis  is the technique most commonly employed in the bioassay, specifically toxicological experiments where the group of animals is subjected to known levels of a toxin

Huffman coding based compression, Huffman code is used to compress data fil...

Huffman code is used to compress data file, where the data is represented as a sequence of characters. Huffman's greedy algorithm uses a table giving how often each character occur

Tree, Tree is the term from the branch of the mathematics which known as t...

Tree is the term from the branch of the mathematics which known as the graph theory, used to describe any set of the straight-line segments joining the pairs of points in some pro

Range, Range is the difference between the largest and smallest observatio...

Range is the difference between the largest and smallest observations in the data set. Commonly used as an easy-to-calculate measure of the dispersion in the set of observations b

Statistics HW, we are testing : Ho: µ=40 versus Ha: µ>40 (a= 0.01) Suppose...

we are testing : Ho: µ=40 versus Ha: µ>40 (a= 0.01) Suppose that the test statistic is z0=2.75 based on a sample size of n=25. Assume that data are normal with mean mu and standa

Greenhouse geissercorrection, Greenhouse geissercorrection is the method o...

Greenhouse geissercorrection is the method of adjusting the degrees of freedom of the within- subject F-tests in the analysis of the variance of longitudinal data so as to allow t

Prepare a depreciation schedule for the rental equipment, Sam Tyler, a sing...

Sam Tyler, a single taxpayer, social security number 111-44-1111, bought Rental Equipment on 04/01/2010. He paid $400,000 including all closing and delivery costs. In the current y

Explain o. j. simpson paradox, O. J. Simpson paradox is a term coming from...

O. J. Simpson paradox is a term coming from the claim made by the defence lawyer in murder trial of O. J. Simpson. The lawyer acknowledged that the statistics demonstrate that onl

Indirect standardization, Indirect standardization is the procedure of adju...

Indirect standardization is the procedure of adjusting the crude mortality or morbidity rate for one or more variables by making use of a known reference population. It may, for in

Breusch-pagan test, The Null Hypothesis - H0:  There is no heteroscedastici...

The Null Hypothesis - H0:  There is no heteroscedasticity i.e. β 1 = 0 The Alternative Hypothesis - H1:  There is heteroscedasticity i.e. β 1 0 Reject H0 if Q = ESS/2  >

Write Your Message!

Captcha
Free Assignment Quote

Assured A++ Grade

Get guaranteed satisfaction & time on delivery in every assignment order you paid with us! We ensure premium quality solution document along with free turntin report!

All rights reserved! Copyrights ©2019-2020 ExpertsMind IT Educational Pvt Ltd