Determine elongation because of self weight of conical bar, Mechanical Engineering

Assignment Help:

Determine elongation because of self weight of conical bar:

Sol.: Consider conical bar ABC of length L with the diameter d fixed rigidly at AB. Let attention be focused on small element of length dy at distance y from lower end point C. Total tension P at the section DE equals weight of bar for length y and can be given by

1414_Determine elongation because of self weight of conical bar.png

Where ω is the specific weight of the bar material and ds = DE is diameter of elementary strip.

From similarity of ?ABC and DEC,
1403_Determine elongation because of self weight of conical bar1.png 
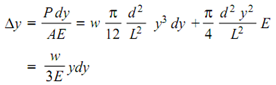
As a result of this load, elemental length dy elongates by small amount Dy and
612_Determine elongation because of self weight of conical bar2.png 
The total change in length of conical bar because of self weight is worked out by integrating above expression between limits  y = 0 to  y = L
550_Determine elongation because of self weight of conical bar3.png 
Where ρ is mass density of bar material                                                                              

 


Related Discussions:- Determine elongation because of self weight of conical bar

Beam and types of beam - support reaction, Beam: Sol.: A beam can be...

Beam: Sol.: A beam can be defined as a structural element which has one dimension (length) considerable larger As compared to the other two direction, which is breadth an

Aeronautical engineering, Aeronautical engineering is a branch of aerospace...

Aeronautical engineering is a branch of aerospace engineering, thus some people use the 2 terms interchangeably. It is also sometimes considered that aeronautical engineering cover

Steam systems - air-conditioning guidelines, Ensure all low points on steam...

Ensure all low points on steam mains and equipment have drip trap assembly. High pressure condensate to be taken to flash tanks, provide detail of flash tank. Use minimum 24" (610

Differences between direct stress and bending stress, Give differences betw...

Give differences between direct stress and bending stress. Direct tensile and compressive stress is set up because of load applied parallel to length of object, and direct shea

Compare petrol engine with diesel engine, Compare Petrol engine with Diesel...

Compare Petrol engine with Diesel engine with each other ( i ) Basic cycle: Petrol Engine work on Otto cycle whereas Diesel Engine work on diesel cycles. ( i i )

Control System, I have a project due in 20 hours and I need help please.

I have a project due in 20 hours and I need help please.

Alloy steels, Alloy Steels: Carbon steels in their commercial forms al...

Alloy Steels: Carbon steels in their commercial forms all times comprise specific amounts of other elements. A lot of of these elements enter the steel from the ores and it is

Define conceptual engineering phase for project, Q. Define Conceptual Engin...

Q. Define Conceptual Engineering Phase for project? The primary objective of this stage is to include and clearly define the economic feasibility of the project, sensitivity to

Determine the maximum vertical load, It shows the test rig for the assignme...

It shows the test rig for the assignment of an indeterminate structure at the Materials Lab. The indeterminate structure consists of three pin-jointed members made of the same stee

Storage and handling of epoxy powder, Q. Storage and Handling of Epoxy Powd...

Q. Storage and Handling of Epoxy Powder? Coating materials shall be stored, handled and applied in strict accordance with procedures as outlined by the coating manufacturer, ex

Write Your Message!

Captcha
Free Assignment Quote

Assured A++ Grade

Get guaranteed satisfaction & time on delivery in every assignment order you paid with us! We ensure premium quality solution document along with free turntin report!

All rights reserved! Copyrights ©2019-2020 ExpertsMind IT Educational Pvt Ltd