Define euler circuit and euler path, Mathematics

Assignment Help:

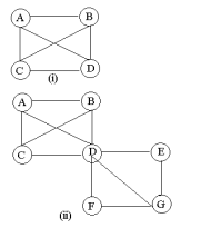
Define Euler Circuit and Euler Path.  Which of the following graphs have an Euler circuit and Euler path.  

                                                                             878_Define Euler Circuit and Euler Path.png

Ans:  In a graph G, a path is known as an Euler path if it contains each edge of the graph exactly once. An Euler path that is circuit is known as an Euler circuit. In the following, for instance, (a) has an Euler path but no Euler circuit, (b) has both of the Euler circuit and Euler path whereas (c) has none.     

A graph G, comprising more than two vertices of odd degrees, does not possess an Euler path. As the given graph (i) and (ii) both consists of more than two nodes of odd degree, neither (i) nor (ii) has any Euler path or Euler circuit.

1882_Define Euler Circuit and Euler Path 1.png


Related Discussions:- Define euler circuit and euler path

How long will it take her to save $350, Each week Jaime saves $25. How long...

Each week Jaime saves $25. How long will it take her to save $350? Divide $350 by $25; 350 ÷ 25 = 14 weeks.

Introduction to mathematics, We know that one has to deal with ...

We know that one has to deal with numbers in day-to-day life irrespective of his inclination and field of work. Also one cannot refute the fact

Arc Length and Sector Area, how do i find the diameter of a circle if i hav...

how do i find the diameter of a circle if i have the shaded sectors area of 263.76 and the central angle of that circle is 210 degrees?

Two consecutive positive integers whose product is 90, What is the lesser o...

What is the lesser of two consecutive positive integers whose product is 90? Let x = the lesser integer and let x + 1 = the greater integer. Because product is a key word for m

Tangent, A tangent to a curve at a point is a straight line which tou...

A tangent to a curve at a point is a straight line which touches but does not intersect the curve at that point. A slope of the curve at a point is defined as the

Determine the value of the unknown side of a right triangle, Determine the ...

Determine the value of the unknown side of a right triangle: The two legs of a right triangle are 5 ft and 12 ft.  How long is the hypotenuse? Now Let the hypotenuse be c ft.

Whole numbers, Observe that natural numbers do not have a zero....

Observe that natural numbers do not have a zero. This shortcoming is made good when we consider the set of whole numbers. The set of whole numbe

How many gumdrops, Will has a bag of gumdrops. If he eats 2 of his gumdrops...

Will has a bag of gumdrops. If he eats 2 of his gumdrops, he will have among 2 and 6 of them left. Which of the subsequent represents how many gumdrops, x, were originally in his b

Personal assistance needed, I have an original finding on the subject of pr...

I have an original finding on the subject of prime distribution and would like expert help in my endeavors. I have written a paper describing everything in detail and demonstration

Write Your Message!

Captcha
Free Assignment Quote

Assured A++ Grade

Get guaranteed satisfaction & time on delivery in every assignment order you paid with us! We ensure premium quality solution document along with free turntin report!

All rights reserved! Copyrights ©2019-2020 ExpertsMind IT Educational Pvt Ltd