Z-transform in matlab

Assignment Help MATLAB Programming
Reference no: EM136544

Z-Transform in MATLAB

1. Sketch the z-plane pole-zero plot and determine the stability status for the following digital system. Determine the h(n) in MatLab.

109_z-transform.jpg

2. A relaxed DSP system is described by the difference equation

y(n)+0.1y(n-1)-0.2y(n-2) = x(n) +x(n-1)

Find and sketch the first ten terms of the impulse response of the signal in MatLab.

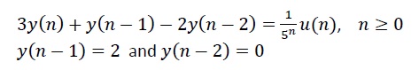
3. Consider a difference equation with its initial conditions.

643_z-transform-1.jpg

Determine y(n) in MatLab.

Reference no: EM136544

Questions Cloud

What sorts of plants will you select for crossing : What sorts of plants will you select for crossing. Describe how allergies, common cold or influenza change the structures of the respiratory system and cause decrease in gas exchange.
How do biologists interpret these similarities : Barbara McClintock, famous for discovering that genes might move within genomes, had her meticulous work ignored for nearly 4 decades, but eventually won the Nobel Prize. Why was her work so distrusted.
Do children living in poverty has equal access to education : Essay on  Do children living in poverty have equal access to education
Describe one growth factor and one mitogen : Describe one growth factor and one mitogen and the cellular signaling they trigger within the cell, as well as the final result of that signaling. What are carcinogens and why and how might they effect the cell cycle in the transformation of normal ..
Z-transform in matlab : Z-Transform in MATLAB, Sketch the z-plane pole-zero plot and determine the stability status for the following digital system. Determine the h(n) in MatLab.
Strategic alliances: creating growth opportunities : Dissertation writing on Strategic alliances: creating growth opportunities in the international market- towards a global village.
Write a research proposal on recruitment & selection process : Write a research proposal on Recruitment and Selection process: An evaluation of E-recruitment at Marks and Spencer.
Business plan of a company named organic pabulums : The entire business plan of a company named Organic Pabulums is prepared.
Write a book review on harvey blatt''s "america''s food" : Write a book review on Harvey Blatt's "America's Food"

Reviews

Write a Review

MATLAB Programming Questions & Answers

  Finite difference method

Use the finite difference method to calculate the temperature at the point specified since it is easier.

  Determine the necessary shell temperature

In a shell-and-tube heat exchanger, one fluid passes through a central tube while another fluid flows through an outer shell in the opposite direction. The purpose is to heat the fluid passing through the central tube.

  Find the integral of a function at an arbitrary location

Write a Matlab function to perform numerical integration of a set of evenly spaced data points using the trapezoidal rule

  Compute the speed of single-stage planetary gear train

Write a MATLAB function [speed] = planetary (N, emesh, first, last, arm) that computes the speed of a given link in a single-stage planetary gear train.

  Calculate and plot the error in the numerical derivative

Write a program to calculate and plot the error in the numerical estimate of the derivative.

  Create the graph using matlab functions

Create the graph, which contains a piecewise function where a line exists in the first interval, a parabola in the second interval, and the sine function in the third interval.

  Develop a simulation program

Develop a simulation program

  Create a vector in matlab

Create a three dimensional diagram of function.

  Open a named pipe and to read data from the pipe

Open a named pipe and to read data from the pipe in matlab

  Write the commands that will create the matrix

Write the commands that will create the matrix.

  Lagrange interpolating polynomial of degree

Lagrange interpolating polynomial of degree

Free Assignment Quote

Assured A++ Grade

Get guaranteed satisfaction & time on delivery in every assignment order you paid with us! We ensure premium quality solution document along with free turntin report!

All rights reserved! Copyrights ©2019-2020 ExpertsMind IT Educational Pvt Ltd