Generate a feasible starting point

Assignment Help Basic Computer Science
Reference no: EM131409238

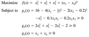
Consider the problem

1358_4f41a385-f318-4a89-93e1-8394f816758e.png

(a) Check what bounds may be appropriate in the problem formulation.

(b) Check whether the problem is likely to possess multiple local solutions.

(c) Generate a feasible starting point.

Reference no: EM131409238

Questions Cloud

Training program for a specific athlete : Your course project will be a year-long (52 week) training program for a specific athlete; the same athlete that you began working with when you did your Week 4 Athlete Analysis Assignment.
Determine if the team would recommend acquiring the company : Determine if the team would recommend acquiring this company based on the 4 calculations above; do you recommend acquiring this company?
Would job enlargement or job enrichment be applicable : Give several concrete examples. Would job enlargement or job enrichment be applicable in this case? Explain. Would E.R.G. theory be applicable in this instance.? Why or why not
Give an account of the development of the atomic bomb : Give an account of the development of the atomic bomb and the decision as to whether or not it should be used. Describe the origins and subsequent development of U.S. involvement in Vietnam from the mid-1950s to the mid-1970s.
Generate a feasible starting point : Check what bounds may be appropriate in the problem formulation.
Identify the key drivers of competition for given industry : Select ONE of the industries below and identify a specific company in that industry and identify the key drivers of competition for that industry and specifically for the selected company.
Difference between a rna virus and a dna virus : What is the difference between a RNA virus and a DNA virus? Do RNA viruses mutate quicker?
Form of reproduction provides for the most variation : One species reproduces sexually; a second species reproduces asexually. Which form of reproduction provides for the most variation in population?
Can police search a residence based on the consent : Can police search a residence based on the consent of one spouse over the objection of the other spouse? Explain

Reviews

Write a Review

Basic Computer Science Questions & Answers

  Identifies the cost of computer

identifies the cost of computer components to configure a computer system (including all peripheral devices where needed) for use in one of the following four situations:

  Input devices

Compare how the gestures data is generated and represented for interpretation in each of the following input devices. In your comparison, consider the data formats (radio waves, electrical signal, sound, etc.), device drivers, operating systems suppo..

  Cores on computer systems

Assignment : Cores on Computer Systems:  Differentiate between multiprocessor systems and many-core systems in terms of power efficiency, cost benefit analysis, instructions processing efficiency, and packaging form factors.

  Prepare an annual budget in an excel spreadsheet

Prepare working solutions in Excel that will manage the annual budget

  Write a research paper in relation to a software design

Research paper in relation to a Software Design related topic

  Describe the forest, domain, ou, and trust configuration

Describe the forest, domain, OU, and trust configuration for Bluesky. Include a chart or diagram of the current configuration. Currently Bluesky has a single domain and default OU structure.

  Construct a truth table for the boolean expression

Construct a truth table for the Boolean expressions ABC + A'B'C' ABC + AB'C' + A'B'C' A(BC' + B'C)

  Evaluate the cost of materials

Evaluate the cost of materials

  The marie simulator

Depending on how comfortable you are with using the MARIE simulator after reading

  What is the main advantage of using master pages

What is the main advantage of using master pages. Explain the purpose and advantage of using styles.

  Describe the three fundamental models of distributed systems

Explain the two approaches to packet delivery by the network layer in Distributed Systems. Describe the three fundamental models of Distributed Systems

  Distinguish between caching and buffering

Distinguish between caching and buffering The failure model defines the ways in which failure may occur in order to provide an understanding of the effects of failure. Give one type of failure with a brief description of the failure

Free Assignment Quote

Assured A++ Grade

Get guaranteed satisfaction & time on delivery in every assignment order you paid with us! We ensure premium quality solution document along with free turntin report!

All rights reserved! Copyrights ©2019-2020 ExpertsMind IT Educational Pvt Ltd