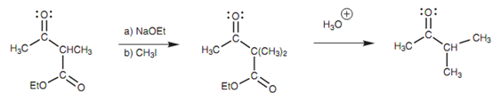
Alkylation of butanone:
One of these products is acquired particularly by using a β-keto ester to make the target alkylation site more acidic.

Figure: Use of a b-keto ester to direct alkylation.
The optional alkylation product could be acquired by using a different β-keto ester.

Figure: Use of a b-keto ester to direct alkylation.