What do you mean by negative clamper, Electrical Engineering

Assignment Help:

Q. What do you mean by Negative Clamper?

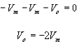
During the positive half cycle the diode conducts and acts like a short circuit. The capacitor charges to peak value of input voltage Vm. During this interval the output Vo which is taken across the short circuit will be zero.
During the negative half cycle, the diode is open. The output voltage can be found by applying KVL.

681_Negative Clamper.png

1579_Negative Clamper1.png


Related Discussions:- What do you mean by negative clamper

Torque-speed characteristics of 3-phase induction motors, Torque-Speed Char...

Torque-Speed Characteristics of 3-Phase Induction Motors Because the torque-slip characteristic is one of themost important aspects of the inductionmotor, we will now develop a

Explain the usage of the output ports , Objective: To Understand the Usage ...

Objective: To Understand the Usage of the Output ports of PIC18F452 and make changes in the previous code accordingly. Procedure: 1. Open the p1.asm program from t

Determine the steady state position error, Figure shows the block diagram o...

Figure shows the block diagram of an aircraft pitch stabilization system which uses position, velocity and acceleration feedback. i) Show that for a unit step input the steady s

Choose compensating components for the circuit, Q. Figure gives the frequen...

Q. Figure gives the frequency-response graphs for a 709 op amp. Choose compensating components for the circuit to have a gain of 100 and a frequency response of up to 100 kHz.

Explain hall effect with hall mobility and hall angle, Explain Hall effect....

Explain Hall effect. Consider a slab of material wherein there is a current density J resulting by an applied electric field Ex in the x- direction. The electrons will drift al

Give some applications of manganin, Give some applications of manganin. ...

Give some applications of manganin. Manganin is alloy of nickel, copper and manganese. This is used shunts in measuring instruments, for making their coils and for making pr

Pentium processor has a superscalar architecture, Q.‘Pentium processor has ...

Q.‘Pentium processor has a superscalar architecture'. Describe the meaning of statement. Ans:Pentium microprocessor is organized with three execution units. One executes float

For the nor and inverter realizations, Q. For the NOR and inverter realizat...

Q. For the NOR and inverter realizations shown in Figure, find the truth table, the type of gate realized, and the expression for the logic output, in each case.

Determine the bit-error probability for the two systems, Let both coherent ...

Let both coherent ASK and coherent PSK systems transmit the same average energy per bit interval and operate on the same channel such that E b /N 0 = 18. Determine the bit-error p

Power angle and performance characteristics, Q. Power Angle and Performance...

Q. Power Angle and Performance Characteristics? The real and reactive power delivered by a synchronous generator, or received by a synchronous motor, can be expressed in terms

Write Your Message!

Captcha
Free Assignment Quote

Assured A++ Grade

Get guaranteed satisfaction & time on delivery in every assignment order you paid with us! We ensure premium quality solution document along with free turntin report!

All rights reserved! Copyrights ©2019-2020 ExpertsMind IT Educational Pvt Ltd