Torque-speed characteristics of 3-phase induction motors, Electrical Engineering

Assignment Help:

Torque-Speed Characteristics of 3-Phase Induction Motors

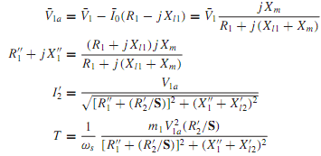
Because the torque-slip characteristic is one of themost important aspects of the inductionmotor, we will now develop an expression for torque as a function of slip and other equivalent circuit parameters. Recalling Equation and the equivalent circuit of Figure, we will obtain an expression for I'2. To that end, let us redraw the equivalent circuit in Figure. By applying Thévenin's theorem, we have the following Figure:

291_Calculate the stator input current.png

Neglecting the stator resistance in Equation results in negligible error for most induction motors. If Xm of the equivalent circuit shown in Figure is sufficiently large that the shunt branch need not be considered, calculations become much simpler; R''1 and X''1 are then equal to R1 and Xl1, respectively; also, V1a is then equal to V1.

1392_Torque-Speed Characteristics of 3-Phase Induction Motors.png

The general shape of the torque-speed or torque-slip characteristic is shown in Figure, in which the motor region (0 < S ≤ 1), the generator region (S < 0), and the breaking region (S > 1) are included for completeness. The performance of an induction motor can be characterized by such factors as efficiency, power factor, starting torque, starting current, pull-out (maximum) torque, and maximum internal power developed.


Related Discussions:- Torque-speed characteristics of 3-phase induction motors

Addition of two sinusoids, Connect the 2 kHz (sin ωt) signal to input A of ...

Connect the 2 kHz (sin ωt) signal to input A of the "Adder" module Connect input B to ground (GND). Connect the outputof the"Adder"(GA+gB) to input A-CH1 of "Scope Selector".

Discuss crp, Question 1 Explain the construction of telephone network ...

Question 1 Explain the construction of telephone network Question 2 What is out-of-band signaling? Explain Question 3 Describe STP (Signaling Transfer Point) Questio

Framework for indicators in electricity sector, Framework for Indicators in...

Framework for Indicators in Electricity Sector A framework has been developed and a set of core indicators for electricity Sector has been proposed. In the first example, mapp

What do you mean by number systems, Q. What do you mean by Number Systems? ...

Q. What do you mean by Number Systems? The Digital circuits are inherently binary in nature, but numerous types of representations of numerical data are in use. The represen

Explain super scalar architecture, Explain super scalar architecture. ...

Explain super scalar architecture. The Pentium microprocessor is organized along with three execution units. Single is executes floating-point instructions, and another two (U

Customer data management- power supply, Customer Data Management- Power Sup...

Customer Data Management- Power Supply The concept of data warehouse and data mining could be extremely useful for the management of customer data. A data warehouse is a power

Evaluate the efficiency of embedded systems, Questions: a) One common ...

Questions: a) One common characteristic of Embedded Systems is that they need to be dependable. Name and describe any three aspects which encompass dependability. b) Name

EEE, ferroelectric materials are charatrised by

ferroelectric materials are charatrised by

Dc machince, what ''s part of dcmotor or dc generator

what ''s part of dcmotor or dc generator

Solving electrical circuits, i need help solving an electrical circuit, usi...

i need help solving an electrical circuit, using kirchoffs laws, it a diamond shape with one voltage source

Write Your Message!

Captcha
Free Assignment Quote

Assured A++ Grade

Get guaranteed satisfaction & time on delivery in every assignment order you paid with us! We ensure premium quality solution document along with free turntin report!

All rights reserved! Copyrights ©2019-2020 ExpertsMind IT Educational Pvt Ltd