Stereochemistry , Chemistry

Assignment Help:

1. Alcohols and amines are both nucleophilic. Explain why this reaction occurs to form Benadryl (diphenhydramine)

708_alcohol.png

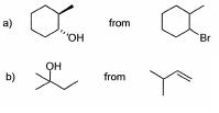
2. Outline a reasonable synthesis of the following:

318_synthesis 2.png

3. Complete the short synthesis below by providing the necessary reagents.

2434_synthesis 1.png

4. An SN2 reaction is characterized by inversion of configuration. Propose a sequence that would allow the preparation of the nitrile derivative B from bromide A. Note that there is no change in the overall stereochemistry of the product. More than one step may be required to complete the sequence.

 

911_synthesis.png

5. Provide structures for compounds A-E, which are formed in the following reactions. Pay attention to stereochemistry where appropriate.

 

 

1618_stereochemistry.png


Related Discussions:- Stereochemistry

Show various methods of blanching for the vegetables, Q. Show various metho...

Q. Show various methods of blanching for the vegetables? To carry out various methods of blanching for the given vegetables. • carry out various methods of blanching, and

What is free energy?, THermodynamic free enrgy is the amount of work a ther...

THermodynamic free enrgy is the amount of work a thermodynamic system can perform. The concept is useful in the thermodynamics of chemical or thermal processes in engineering and

The charge of an electron & value of free charge on li+ ion, The charge of...

The charge of an electron is -1.6 x10 -19 C.  The value of free charge on  Li + ion will be: (1) 3.6x 10 -19 c                   (2) 1x 10 -19 c      (3) 1.6 x 10 -19

STATES OF MATTER, USE THE KINETIC PARTICLE THEORY TO EXPLAIN THE EXISTENCE ...

USE THE KINETIC PARTICLE THEORY TO EXPLAIN THE EXISTENCE OF THE DIFFERENT STATES OF MATTER

The gas constant of the ideal gas, A piston device haves 0.8 kg of an ideal...

A piston device haves 0.8 kg of an ideal gas initially at 200 kPa and 30oC. The gas is then compressed slowly in a polytropic process during which PV1.3 = constant until the volume

Objectives-purchase of alcohol and its stock maintenance, Objectives: Afte...

Objectives: After doing this exercise you will be able to: 1 . Fill-up a F-22 form or write an application for obtaining the license permit for alcohol, 2 . Give justifica

Explain product optimization, Product Optimization Sensory analysis du...

Product Optimization Sensory analysis during this phase of product development is critical and includes extensive evaluation with many kinds of tests, each playing a specific

Terminologies in organic chemistry!, (a) Co-ordination compound A co-ordi...

(a) Co-ordination compound A co-ordination compound contains a central metal atom or cation which is surrounded by a suitable number of anions or neutral molecules and usually re

Uses of acetic acid - carboxylic acids, Uses of Acetic Acid - Carboxylic ac...

Uses of Acetic Acid - Carboxylic acids (a) Acetic Acid is used as a solvent and a laboratory reagent. (b) Acetic Acid is used as vinegar for table purpose and for manufactur

Synthesis of freon and freon synthesis, explain the synthesis of freon and ...

explain the synthesis of freon and westron i need only the synthesis of those coompound

Write Your Message!

Captcha
Free Assignment Quote

Assured A++ Grade

Get guaranteed satisfaction & time on delivery in every assignment order you paid with us! We ensure premium quality solution document along with free turntin report!

All rights reserved! Copyrights ©2019-2020 ExpertsMind IT Educational Pvt Ltd