Sound waves in gases, Mechanical Engineering

Assignment Help:

Sound Waves in Gases

Sound waves are longitudinal pressure waves. Let us consider the motion of a plane sound wave moving along X-axis in a gas medium. In undisturbed position, the gas medium is described by its equilibrium pressure P0 and density ρ0. A mechanical disturbance deforms the equilibrium state of the gas. The gas particles are displaced longitudinally causing compressions and rarefactions. Consequently, the density and pressure of the gas changes. The pressure variation moves in the medium from one region to the other producing a pressure wave.


To obtain the wave equation, we consider the motion of a thin slab of the gas (of unit area), lying between position x and x + Δ x. Following the steps exactly as in the elastic rod, the average volume strain of this element of gas is given by

230_download.png 

The volume strain is produced because the pressures along the X-axis on both sides of the thin element are different. The net pressure or stress on the gas element, within linear approximation, towards +ve X-axis is

1721_download (1).png 

Now (instead of Young's modulus), the elastic property of gas is defined in terms of its bulk modulus K as

1873_download (2).png 

The minus sign in the definition of K appears because volume strain is negative for positive stress.

1035_download (3).png 

That is, bulk modulus K is determined about equilibrium condition. Hence the net force on the gas element is

1815_download (5).png 

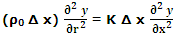
The equation of motion of the gas element (mass = ρ0 Δ x), therefore, is

2383_download (6).png 

Hence, the velocity of sound waves in a gaseous medium

448_download (7).png 

depends upon the equilibrium density ρ0 and bulk modulus K of the gas. Note that bulk modulus K is also evaluated at equilibrium condition

791_download (8).png 

The value of K therefore depends on how pressure of the gas changes with respect to volume during wave motion. It turns out that the temperature in a sound wave does not remain constant. The excess pressure causing the compression raises the temperature of gas there; the region of rarefaction cools slightly as the pressure falls. The time period of oscillation is so small that before heat could flow from one region to another, the region of compression turns into region of rarefaction and vice-versa. The sound motion therefore is an adiabatic process and gas obeys the equation.

178_download (9).png


Related Discussions:- Sound waves in gases

Example of production rate, Example of Production Rate The turret lath...

Example of Production Rate The turret lathe section contains six machines, all devoted to the production of the similar part. The section operates 10 shifts/wk. The number of

Slip of belt, Slip of belt: Sol:   When the driver pulley rotates, it...

Slip of belt: Sol:   When the driver pulley rotates, it carries belt, because of a firm grip between its surface and belt. The firm between pulley and belt can be obtained by

Mechnics of solids thick cylinder, a compound cylinder is composed of a tub...

a compound cylinder is composed of a tube of 250mm internal diameter at 25mm wall thickness.it is shrunk on to a tube of 200mm internal diameter. the radial pressure at the junctio

Determine force exerted by the jet, (a) Describe the terms "Fluid jet" & "V...

(a) Describe the terms "Fluid jet" & "Vane" in Fluid Machine. (b) What is impulse - momentum principal in analysis and design of turbo machines. What are the assumptions made

Determine net force acting on the piston, A Single Cylinder Vertical Engine...

A Single Cylinder Vertical Engine has a stroke of 40cm and a bore of 30cm. The connecting rod is 100cm long. The mass of the reciprocating parts is 140Kg on the expansion stroke wi

Carburettor tuning of motorcycle, Carburettor Tuning :  It is very importa...

Carburettor Tuning :  It is very important that the carburettor is tuned properly to attain the best fuel efficiency and performance of the motorcycle. Since air screw is factory

Neutral position-shifting of gears , Shifting of Gears: To obtain differen...

Shifting of Gears: To obtain different size combinations of gears, the gears slide on their shafts to mesh with different gears. The position of different gears, e.g. 1st, 2nd, 3r

Theory of constraints, Theory of Constraints: Goldratt's theory of con...

Theory of Constraints: Goldratt's theory of constraint has attracted the attention of several practioners in the industry. His concept of goal, constraint, and throughput, cri

What is windsocks, Windsocks shall be installed at plant facilities handlin...

Windsocks shall be installed at plant facilities handling flammable gases, volatile liquids or toxic materials and also at helipads (may require lighting if night flights are inten

Determine force exerted on the plate, A nozzle of 50 mm. dia. delivers a st...

A nozzle of 50 mm. dia. delivers a stream of water that strikes a flat plate which is held normal to the axis of stream. If the issuing jet has a velocity of 15 m/sec., Determin

Write Your Message!

Captcha
Free Assignment Quote

Assured A++ Grade

Get guaranteed satisfaction & time on delivery in every assignment order you paid with us! We ensure premium quality solution document along with free turntin report!

All rights reserved! Copyrights ©2019-2020 ExpertsMind IT Educational Pvt Ltd