Product moment coefficient, Mathematics

Assignment Help:

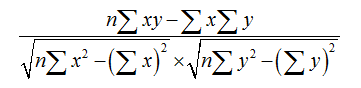
Product Moment Coefficient

This gives an indication of the strength of the linear relationship among two variables.

1237_Product Moment Coefficient (r).png

Note that this formula can be rearranged to have different outlooks however the resultant is always the similar.


Related Discussions:- Product moment coefficient

Radius of convergence - sequences and series, Radius of Convergence We ...

Radius of Convergence We will be capable to illustrate that there is a number R so that the power series will converge for, |x - a| R.  This number is known as the radius of

Polynomials, write the zeros of underroot3power2 -8x+4underroot 3

write the zeros of underroot3power2 -8x+4underroot 3

Geometry, #question.onstruct/draw geometric shapes with specific condition....

#question.onstruct/draw geometric shapes with specific condition.

Exponential functions, The exponential functions are useful for descr...

The exponential functions are useful for describing compound interest and growth. The exponential function is defined as:          y = m. a x where '

Derive the probability distribution of the completion times, Derive the pro...

Derive the probability distribution of the completion times: a. The following probability distributions relate to the completion times, in weeks, T A and T B of two independ

Determine the slope, Determine the slope following lines.  Sketch the graph...

Determine the slope following lines.  Sketch the graph of line.       The line which contains the two points (-2, -3) and (3, 1) .   Solution we'll need to do is employ

Quadratic equations by completing the square method, Can we solve the Quadr...

Can we solve the Quadratic Equations by completing the square method? if yes explain it.

Maths For Fun, Ask Suppose I offer you a loan to start a safety matchstick ...

Ask Suppose I offer you a loan to start a safety matchstick production unit on the following terms: I shall first advance you Rs.50,000/- to set up your unit, and wait for 3 month

Determine coefficient of traction, Problem 1 Work through TALPAC 10 Bas...

Problem 1 Work through TALPAC 10 Basics (refer to attached handout). Answer the set of questions at the end of tutorial module. Problem 2 Referring to both the haul cyc

Example of word problem, Example of Word problem: There is a man who i...

Example of Word problem: There is a man who is 21 years older than his son.  5 years ago he was four times as old as his son. How older are both now? Solution: Step 1

Write Your Message!

Captcha
Free Assignment Quote

Assured A++ Grade

Get guaranteed satisfaction & time on delivery in every assignment order you paid with us! We ensure premium quality solution document along with free turntin report!

All rights reserved! Copyrights ©2019-2020 ExpertsMind IT Educational Pvt Ltd