Potential barrier, Physics

Assignment Help:

The potential difference created across the P-N junction due to the diffusion of electron and holes is called potential barrier.

For 2252_22.pngand for silicon 

 

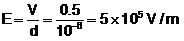
On the average the potential barrier in P-N junction is ~ 0.5 V and the width of depletion region ~ 10-6.

So the barrier electric field.

28_22.png

 

 

 


Related Discussions:- Potential barrier

Explain the types of polymorphism, Explain the types of polymorphism In...

Explain the types of polymorphism In terms of  thermodynamics, there are two kinds of polymorphism. For a monotropic system, a plot of the free energy of the various polymorphs

Who scientist is responsible for the exclusion principle, Which of the foll...

Which of the following scientists is responsible for the exclusion principle which states that two objects may NOT occupy the same space at the same time?  Was it: a) Heisenbe

Kinematics, A body moving in the positive x direction passes the origin at ...

A body moving in the positive x direction passes the origin at time t=0. Between t=0 and t=1 second, the body has a constant speed of 24 meters per second. At t=1 second, the body

Kinematics, A CAR MOVING AT 25m/s ALONG A STRAIGHT LEVEL ROAD EXPERIENCE A ...

A CAR MOVING AT 25m/s ALONG A STRAIGHT LEVEL ROAD EXPERIENCE A RESISTANCE WHICH PRODUCES A RETARDATION OF 0.0001 V^3,WHERE V IS THE VELOCITY IN m/s.FIND THE DISTANCE TRAVELLED AND

Draw a ray diagram to show the formation of image, Draw a ray diagram to sh...

Draw a ray diagram to show the formation of image of an object placed among the optical centre and focus of the convex lens. Write the characteristics of image formed. Using this d

State the uses of zinc sulphide, State the uses of Zinc sulphide Zinc s...

State the uses of Zinc sulphide Zinc sulphide has a lattice constant of 0.596nm . The sulfide ions are quite big (atomic radius 184 pm) relative to the size of the zinc ions (7

How and why cph theory does gainsay the relativity, how and why CPH Theory ...

how and why CPH Theory does gainsay the relativity? Answer; Never a CPH Theory gainsays the relativity. It can explain relativistic conceptions. Mainly; A. CPH Theory does c

Simple harmonic motion, Composition of two simple harmonic motion of the sa...

Composition of two simple harmonic motion of the same period along the straight line

Define transverse waves , Particles of the medium implement simple harmonic...

Particles of the medium implement simple harmonic motion about their mean position in a direction perpendicular to the direction of propagation of wave motion. (i) It goes in th

Show the ray diagram, Show the ray diagram showing the experimental arrange...

Show the ray diagram showing the experimental arrangement for pure spectrum.

Write Your Message!

Captcha
Free Assignment Quote

Assured A++ Grade

Get guaranteed satisfaction & time on delivery in every assignment order you paid with us! We ensure premium quality solution document along with free turntin report!

All rights reserved! Copyrights ©2019-2020 ExpertsMind IT Educational Pvt Ltd