Partial fractions - integration techniques, Mathematics

Assignment Help:

Partial Fractions - Integration techniques

In this part we are going to take a look at integrals of rational expressions of polynomials and again let's start this section out with an integral which we can already do so we can contrast it with the integrals that we'll be doing in this segment.

 ∫ (2x-1 / x2 -x - 6) (dx)

∫ (1/u) (du)

By using u = x2 - x - 6 and du = (2x-1) dx

= 1n |x2 - x - 6 | + c

Thus, if the numerator is the derivative of the denominator (or a constant multiple of the derivative of the denominator) doing this type of integral is fairly simple.  Though, frequently the numerator isn't the derivative of the denominator (or a constant multiple).  For instance, consider the following integral.

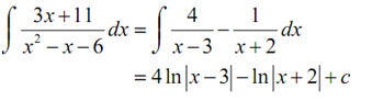
∫ (3x+11/(x2-x-6)) (dx)

In this type of case the numerator is certainly not the derivative of the denominator nor is it a constant multiple of the derivative of the denominator. Hence, the simple substitution which we used above won't work.  Though, if we notice that the integrand can be broken up as follows,

1546_Partial Fractions - Integration techniques 1.png

3x + 11 /x2-x-6

= 4/x-3 - 1/x+2

Then the integral is in fact quite simple.

556_Partial Fractions - Integration techniques 2.png


Related Discussions:- Partial fractions - integration techniques

Mrs. farrell''s class has 26 students how many were absent, Mrs. Farrell's ...

Mrs. Farrell's class has 26 students. Just 21 were present on Monday. How many were absent? Subtract the number of students present from the total number within the class to de

How long will it take him to plow 21 acres, Mr. Brown plowed 6 acres in 1 h...

Mr. Brown plowed 6 acres in 1 hour. At this rate, how long will it take him to plow 21 acres? Mr. Brown plows 6 acres an hour, so divide the number of acres (21) through 6 to f

value of integration , what is the value of integration limit n-> infinity...

what is the value of integration limit n-> infinity [n!/n to the power n]to the power 1/n Solution)  limit n-->inf.    [1 + (n!-n^n)/n^n]^1/n = e^ limit n-->inf.    {(n!-n^n)

Find the external surface area, A shuttlecock used for playing badminton ha...

A shuttlecock used for playing badminton has the shape of a frustum of a Cone mounted on a hemisphere.  The external diameters of the frustum are 5 cm and 2 cm, and the height of t

20 MARK QUESTION, Let E; F be 2 points in the plane, EF has length 1, and l...

Let E; F be 2 points in the plane, EF has length 1, and let N be a continuous curve from E to F. A chord of N is a straight line joining 2 points on N. Prove if 0 Prove that N ha

Inductive reasoning.., 2, -8, 32, -128, ?, ?, ?, what are these next 3?

2, -8, 32, -128, ?, ?, ?, what are these next 3?

Prove that one of three consecutive integers divisible by 3, Prove that one...

Prove that one of every three consecutive integers is divisible by 3. Ans: n,n+1,n+2 be three consecutive positive integers We know that n is of the form 3q, 3q +1, 3q +

Using pythagorean theorem solve z 2 = ( x + y )2 + 3502, Two people on bik...

Two people on bikes are at a distance of  350 meters.  Person A begin riding north at a rate of 5 m/sec and 7 minutes later on Person B begin riding south at 3 m/sec.  Determine th

Shares and dividents., how much money will required to buy 200,rupees 25 sh...

how much money will required to buy 200,rupees 25 shares at premium of rupees 2

Write Your Message!

Captcha
Free Assignment Quote

Assured A++ Grade

Get guaranteed satisfaction & time on delivery in every assignment order you paid with us! We ensure premium quality solution document along with free turntin report!

All rights reserved! Copyrights ©2019-2020 ExpertsMind IT Educational Pvt Ltd