Multivariate analysis of variance, Advanced Statistics

Assignment Help:

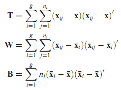
Multivariate analysis of variance is the procedure for testing equality of the mean vectors of more than two populations for the multivariate response variable. The method is directly analogous to the analysis of the variance of univariate data except that the groups are compared on q response variables at the same time. In the univariate case, F-tests are used to assess hypotheses of interest. In the multivariate case, though, no single test statistic can be constructed which is optimal in all situations. The most extensively used of the available test statistics is Wilk' slambda (L) which is based on the three matrices W(the within groups matrix of the sums of squares and products), T (the total matrix of sums of the squares and cross-products)and B (the among groups matrix of sums of squares and the cross-products), can be defined as follows: 
966_multivariate analysis.png 
These matrices satisfy the following written equation
125_multivariate analysis1.png 

Wilk's lambda is given by ratio of the determinants of the W and T, that is

1917_multivariate analysis2.png 

The statistic, L, can be transformed to provide a F-test to assess null hypothesis of the equality of the population of the mean vectors. Additionally to L a number of other test statistics are available.


Related Discussions:- Multivariate analysis of variance

Explain multiple comparison tests, Multiple comparison tests : Procedures f...

Multiple comparison tests : Procedures for detailed examination of the differences between a set of means, generally after a general hypothesis that they are all equal has been rej

Per-experiment error rate, Per-experiment error rate is the possibility of...

Per-experiment error rate is the possibility of the incorrectly rejecting at least one null hypothesis or assumption in the experiment including one or more tests or comparisons,

Lipstick Dilemma, For a career woman, wearing lipstick has become an integr...

For a career woman, wearing lipstick has become an integral part of her daily life. It is not unusual for a woman to look for a lipstick that will stay on her lips and not smudge o

Latent class analysis, Latent class analysis is a technique of assessing w...

Latent class analysis is a technique of assessing whether the set of observations including q categorical variables, in specific, binary variables, consists of the number of diffe

Cluster analysis, Cluster analysis : A set of methods or techniques for con...

Cluster analysis : A set of methods or techniques for constructing a sensible and informative classi?cation of an initially unclassi?ed set of data, using variable values observed

Population averaged models, Population averaged models are the models for ...

Population averaged models are the models for kind of clustered data in which the marginal expectation of response variable is the main focus of interest. An alternative approach

Conjoint analysis, Conjoint analysis : The method used basically in market ...

Conjoint analysis : The method used basically in market research which is similar in many respects to the various dimensional scaling. The method attempts to assign values to the l

Average age at death, Average age at death : A ?awed statistic summarizing ...

Average age at death : A ?awed statistic summarizing expectancy of the life and other aspects of the mortality. For instance, a study comparing average age at the death for male sy

Paired samples, Paired samples are the two samples of the observations wit...

Paired samples are the two samples of the observations with the characteristic feature with each of the observation in one sample have only one matching observation in the other s

Pattern recognition, Pattern recognition is a term for a technology that r...

Pattern recognition is a term for a technology that recognizes and analyses patterns automatically by machine and which has been used successfully in many areas of application inc

Write Your Message!

Captcha
Free Assignment Quote

Assured A++ Grade

Get guaranteed satisfaction & time on delivery in every assignment order you paid with us! We ensure premium quality solution document along with free turntin report!

All rights reserved! Copyrights ©2019-2020 ExpertsMind IT Educational Pvt Ltd