Linear time invariant, Electrical Engineering

Assignment Help:

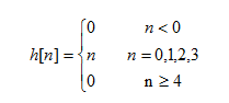
A LIT (linear time-invariant) system, impulse response h[n], is described by:

751_linear time invariant.png

(a) Show the block-diagram representation for this FIR filter (only use multiplier, adder and unit delay blocks).

(b) Calculate and demonstrate the numerical convulsion in a table (similar to the example presented in Fig 5-11 of your book), and graphically demonstrate the values of y[n], if the input (x[n]) to the above system h[n] is:

1478_linear time invariant 1.png

(c) Calculate and graphically demonstrate the value of y[n] for the shifted impulse response of h[n-d] for which d is the last digit of your student number (if the last digit of your student number is 0, use 1 instead).

(d and e) Repeat (b) and (c) for the following input:

806_linear time invariant 2.png

(f) Write a MATLAB program to calculate and graphically demonstrate (b) and (c). Include the print of this MATLAB program + snap shots of the outputs, for each case, in your submission.


Related Discussions:- Linear time invariant

What are cu and neu in 8087, What are CU and NEU in 8087? CU-Control un...

What are CU and NEU in 8087? CU-Control unit NEU- Numeric extension unit. The numeric extension unit implements all the numeric processor instructions whereas the control un

Measures of regulator quality, Measures of regulator quality: The outp...

Measures of regulator quality: The output voltage can just be held roughly constant; the regulation is fixed by two measurements: 1. Load regulation is the alteration in ou

3phase unbalanced load flow, under three phase 4 wire load unbalanced distr...

under three phase 4 wire load unbalanced distribution network how to calacualte the voltage across the load when no load resistance is specified, however the real and reactive powe

High voltage distribution system or hvds, High Voltage Distribution System ...

High Voltage Distribution System or HVDS Adoption of HVDS (High Voltage Distribution System) through converting existing LVDS to HVDS reduces the technical losses appreciably.

Customer service management, Customer Service Management CRM involves ...

Customer Service Management CRM involves several activities related to planning - both long terms and short terms, measurement and control, improvement and innovation of all a

Distribution loss reduction and efficiency improvement, Distribution Loss R...

Distribution Loss Reduction and Efficiency Improvement You are well aware of the fact in which all energy supplied to a distribution utility does not reach the end consumers.

Basic macroeconomic policy trilemma for open economies, Q. Explain th...

Q. Explain the basic macroeconomic policy trilemma for open economies. Answer: Of three goals mainly countries share - independence in financial policy and stability in t

Electric current vs magnetic field, When a current is passed through a cond...

When a current is passed through a conductor, a magnetic field is created in its surroundings. We can represent this magnetic field by drawing 'field (or 'flux') lines' with two

Repeatability , Reproducibility and repeatability are measures of closeness...

Reproducibility and repeatability are measures of closeness with which a given input may be measured over again. The two terms cause confusion. Therefore, a distinction is made bet

Nonsalient-pole rotor construction, Q. Nonsalient-pole rotor construction? ...

Q. Nonsalient-pole rotor construction? The nonsalient-pole (smooth or cylindrical) rotor construction is preferred for high-speed turbine-driven alternators (known also as turb

Write Your Message!

Captcha
Free Assignment Quote

Assured A++ Grade

Get guaranteed satisfaction & time on delivery in every assignment order you paid with us! We ensure premium quality solution document along with free turntin report!

All rights reserved! Copyrights ©2019-2020 ExpertsMind IT Educational Pvt Ltd