Inorder and preorder traversal to reconstruct a binary tree, Data Structure & Algorithms

Assignment Help:

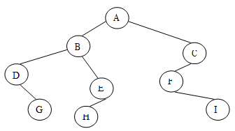
Q. Using the following given inorder and preorder traversal reconstruct a binary tree

Inorder sequence is

D, G, B, H, E, A, F, I, C


Preorder sequence is

A, B, D, G, E, H, C, F, I

 

Ans:

The In-order sequence given to us is :- D, G, B, H, E, A, F, I, C

Pre-order sequence given to us is:- A, B, D, G, E, H, C, F, I

The binary tree T is drawn from its root downward by selecting the first node in its pre-order as root of T then study the left and right child recursively. The tree T is drawn below:

 

 

1354_Binary Tree.png


Related Discussions:- Inorder and preorder traversal to reconstruct a binary tree

Infix expression to postfix form using the stack function, Q. Convert the f...

Q. Convert the following given Infix expression to Postfix form using the stack function: x + y * z + ( p * q + r ) * s , Follow general precedence rule and suppose tha

Binary tree with depth 3, Q. Construct a complete binary tree with depth 3 ...

Q. Construct a complete binary tree with depth 3 for this tree which is maintained in the memory using the linked representation. Make the adjacency list and adjacency matrix for t

Write about enterprise manager, Question 1 . Give the structure of PL/SQL B...

Question 1 . Give the structure of PL/SQL Blocks and explain Question 2 . Differentiate between PL/SQL functions and procedures Question 3 . Explain the following Par

Hashing and five popular hashing functions, Q. Explain the term hashing? Ex...

Q. Explain the term hashing? Explain any five well known hash functions.                         Ans: Hashing method provides us the direct access of record from the f

Algorithm for sorting a deck of cards, What is wrong with the following alg...

What is wrong with the following algorithm for sorting a deck of cards (considering the basic properties of algorithms)? I. Put the cards together into a pile II. For each ca

Find error for curious number, #include #include int sumFact(int numb);...

#include #include int sumFact(int numb); int calculateFactorial(int digit); main() { int numb, sumfact; do{ printf ("Enter a number 1 to 9999\n"); scanf("%

BST has two children, If a node in a BST has two children, then its inorder...

If a node in a BST has two children, then its inorder predecessor has No right child

Write a procedure that produces independent stack, Write a procedure (make-...

Write a procedure (make-stack) that produces independent stack objects, using a message-passing style, e.g. (define stack1 (make-stack))  (define stack2 (make-stack)) W

Illustrate the wire frame representation, RENDERING, SHADING AND COLOURING ...

RENDERING, SHADING AND COLOURING By introducing hidden line removal we have already taken one step away from wire-frame drawings towards being able to realistically model and d

Algorithm to add an element at the end of linked list, Write an algorithm t...

Write an algorithm to add an element at the end of circular linked list.   Algorithm to Add the Element at the End of Circular Linked List. IINSENDCLL( INFO, LINK, START, A

Write Your Message!

Captcha
Free Assignment Quote

Assured A++ Grade

Get guaranteed satisfaction & time on delivery in every assignment order you paid with us! We ensure premium quality solution document along with free turntin report!

All rights reserved! Copyrights ©2019-2020 ExpertsMind IT Educational Pvt Ltd