Illustration of gauss-jordan elimination, MATLAB in Engineering

Assignment Help:

Illustration of gauss-jordan elimination:

An illustration of interchanging rows would be r1 ¬→ r3, that would results:

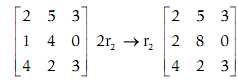
Now, beginning with this matrix, an illustration of scaling would be: 2r2 →  r2, that means all the elements in row 2 are multiplied by 2. These results:

1285_Illustration of gauss-jordan elimination.png

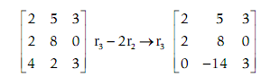
Now, beginning with this matrix, an illustration of a replacement would be: r3 - 2r2 → r3. Element-by-element, row 3 is substituted by the element in row 3 minus 2 * the equivalent element in row 2. This result:

524_Illustration of gauss-jordan elimination1.png

Both the Gauss and Gauss-Jordan techniques start with the matrix form Ax = b of a system of equations, and then augment the coefficient matrix A with the column vector b.

1631_Illustration of gauss-jordan elimination2.png

 


Related Discussions:- Illustration of gauss-jordan elimination

Distributed computing on linux cluster, i want to run 4 instances of my mat...

i want to run 4 instances of my matlab code on 4 processor cores. im executing the job from head node. i created a parallel job and assigned number of workers. but i don''t get bac

Illustration of variable scope, Illustration of Variable scope: Runnin...

Illustration of Variable scope: Running this function does not add any of variables to the workspace, as elaborated: >> clear >> who >> disp(mysum([5 9 1]))

Sound files, Sound Files: The sound signal is an illustration of a con...

Sound Files: The sound signal is an illustration of a continuous signal which is sampled to result in a discrete signal. In this situation, sound waves traveling through the a

Function call - modular program, Function call: In the function call, ...

Function call: In the function call, not any arguments are passed so there are no input arguments in the function header. The function returns an output argument, therefore th

Function used in sound files, Function used in sound files: The MATLAB...

Function used in sound files: The MATLAB has numerous other functions which let you read and play sound or audio files. In the audio files, sampled data for each audio channel

Function imread - image processing, function imread: The function imre...

function imread: The function imread can read an image file, for illustration a JPEG (.jpg) file. The function reads color images into a 3-dimensional matrix. >> myimage1

Reading from a mat-file, Reading from a Mat-File: The load function is...

Reading from a Mat-File: The load function is used to read from various types of files. As with save function, by default the file will be supposed to be a MAT-file, and load

Technique is to create one element - vector, Technique is to create one ele...

Technique is to create one element - vector: Technique is to create one element with the values from one structure, and use repmat to replicate it to the preferred size. Then,

Intersect function and setdiff function, Intersect function and setdiff fun...

Intersect function and setdiff function: The intersect function rather than returns all the values which can be found in both of the input argument vectors. >> intersect(v

Plotting streamline in matlab, I have a vector of X, one for Y , one for x-...

I have a vector of X, one for Y , one for x-direction velocity U and one for y-direction velocity V. they are at same size. How can I plot streamline of that flow? I follow all exa

Write Your Message!

Captcha
Free Assignment Quote

Assured A++ Grade

Get guaranteed satisfaction & time on delivery in every assignment order you paid with us! We ensure premium quality solution document along with free turntin report!

All rights reserved! Copyrights ©2019-2020 ExpertsMind IT Educational Pvt Ltd