Illustration of Gauss elimination:
For illustration, for a 2 × 2 system, an augmented matrix be:

Then, the EROs is applied to obtain the augmented matrix into an upper triangular form:

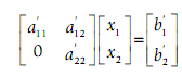
Therefore, the goal is simply to substitute a21 with 0. Here, the primes points that the values (might) have been changed.
Putting this back into the equation form results,

Executing this matrix multiplication for each row outcomes in:

Therefore, the solution is as shown below:

Likewise, for a 3 × 3 system, the augmented matrix is decreased to upper triangular form:

(This will be completed systematically by first obtaining a 0 in the a21 position, then a31, and lastly a32.)
Then, the answer will be:

As an illustration, consider the 2 × 2 system of equations as shown below:

As a matrix equation Ax = b, this is:

The initial step is to augment the coefficient matrix A with the b to obtain an augmented matrix [A| b]:
