Illustrate an example of a critical path given by activity, Project Management

Assignment Help:

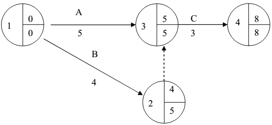
Illustrate an example of demonstrating a network or critical path by given activity and duration.

Activity                      Duration (Wks)                   Preceded by

A                                 5                                   -

B                                 4                                   -

C                                 3                                   B

327_Demonstrating a network or critical path.png

a. The elapsed or expected completion time of the project is eight weeks

b. The critical path activities are as A and C for example both should be completed into their predicted durations, or else the project will be longer into duration than eight weeks. See how the EET and LET of critical activities are the same.

c. Activity B is a non-critical activity and that would have a float time of one week.

d. This is since its predicted duration is four weeks, but this can take five weeks to finish and yet leave enough time left for activity C to be finished, the elapsed time of the project will still be attained. See how the EET and LET both of non-critical activities are not same; the difference is one week for example the float time, while you deduct one by the other.

e. The broken arrow or dummy activity preserves logic into the diagram for example visually you can observe that both activities A and B should be finished, before C can begin. See also that the arrow showing activity C starts by circle 3 (not circle 2), this is since the earliest event time for C would be 5 weeks not 4 weeks like circle 2 exhibits.


Related Discussions:- Illustrate an example of a critical path given by activity

Determine what are the delphi technique, The Delphi technique intends to at...

The Delphi technique intends to attain a consensus evaluates by the efforts of a number of estimators. How is this attained and what is the advantage of the Delphi technique over,

The type of culture to which s company now needs to change, S Company has f...

S Company has for many years been a long standing household name, designing and manufacturing electrical appliances for use in the kitchen. It has developed a strong culture over t

Describe types of projects requirements according to wijnen, Describe all t...

Describe all types of projects requirements according to Wijnen. Preconditions: It forms the context in which the project should be executed. Illustrations include legisl

What do you mean by gates and milestones, What do you mean by Gates and Mil...

What do you mean by Gates and Milestones? Gates and milestones: Milestones are a completion of main interim objectives for a project for example the key stages of a pro

What are the advantages of division of labour, What are the Advantages of D...

What are the Advantages of Division of Labour? Advantages of Division of Labour: As very similar worker does the same work frequently:- a. It gains proficiency and ski

H U D guidelines, For an initial secure order under HUD guidelines, are yo...

For an initial secure order under HUD guidelines, are you authorized to remove exterior debris automatically?

Explain briefly the key characteristics of a good project, Question 1: ...

Question 1: i) How would you define a project? What are the different types of project that exist (please explain using a model with examples) ii) Enumerate and explain bri

Cost of failure of quality, Failure Cost of failure may result from eit...

Failure Cost of failure may result from either internal failure or external failure. Internal failures are those that occur before the product is delivered, internal failure co

The importance of each phases of the project life cycle, Question (a) D...

Question (a) Discuss the importance of each phases of the project life cycle (b) Assumptions make estimates more accurate. Do you agree with this statement? (c) Outline s

Cost of quality, Cost of Quality In    spite    of   the    number    o...

Cost of Quality In    spite    of   the    number    of   definitions    available    for   quality    much misunderstanding exists about quality. Some of the misunderstandings

Write Your Message!

Captcha
Free Assignment Quote

Assured A++ Grade

Get guaranteed satisfaction & time on delivery in every assignment order you paid with us! We ensure premium quality solution document along with free turntin report!

All rights reserved! Copyrights ©2019-2020 ExpertsMind IT Educational Pvt Ltd