How much your investments will be worth at retirement time, Financial Management

Assignment Help:

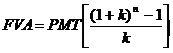
Suppose you are planning to make regular contributions in equal payments to an investment fund for your retirement. Which formula would you use to figure out how much your investments will be worth at retirement time, given an assumed rate of return on your investments?

To figure out how greatly your investment will be worth at retirement time, specified an assumed rate of return on your investments, you would utilize the future value of an annuity formula:

Future Value of an Annuity Formula

 

                                                    1083_Future Value of an Annuity Formula.png

 

                                    where:    FVA = Future Value of an Annuity

                                                   PMT = Amount of each annuity payment

                                                         k = Interest rate per time period

                                                         n = Number of annuity payments


Related Discussions:- How much your investments will be worth at retirement time

Illustrate report on cash flow budget, Q. Illustrate report on cash flow bu...

Q. Illustrate report on cash flow budget? The cash flows The principal reason why certain statistics were not included in the cash flows is that they are incremental cash

Assets allocation, Assets Allocation: The investment pattern above shou...

Assets Allocation: The investment pattern above should be followed as under: Fresh accretions to the fund and redemption amounts of investments made earlier should be inv

WACC, Keys Printing plans to issue a $1,000 par value, 10-year noncallable ...

Keys Printing plans to issue a $1,000 par value, 10-year noncallable bond with a 5.00% coupon, paid semiannually. It should sell at par. The company''''s marginal tax rate is 40.00

Explain cross border acquisitions and green field investment, Why do you th...

Why do you think the host country tends to resist cross-border acquisitions, rather as compared to green field investments? Answer: The host country is inclined to view green f

Define how competitive is the market for banking services, How competitive ...

How competitive is the market for banking services? A: With above 7,000 banks and thrifts in the U.S., banking is one of the so many competitive industries in the world. Refer

Determine firm sales revenue, a) Gross profit shows the difference between ...

a) Gross profit shows the difference between a firm's sales revenues and its direct cost of sales (COGS). Net profit, however, is calculated after deducting overheads (expenses) fr

Different types of cash flow to bondholder of coupon bonds, What are the di...

What are the different types of cash flow to the bondholder of coupon bonds? Coupon bonds deliver two different kinds of cash flow to the bondholder are as follows: a. Face

Statement showing working capital requirement, Current Assets:- Stoc...

Current Assets:- Stock of Raw-Materials :- [(Cost of yearly consumption Of raw material)*{ (Average Inventory holding period (weeks/months))}/(52 weeks / 12 months)]=

Evaluate optimum price of the new machine, Q. Evaluate optimum price of the...

Q. Evaluate optimum price of the new machine? The optimum price will be the one which optimises total contribution over the five-year life of the new machine. Sales price o

What is estate tax, Q. What is Estate Tax? Estate Tax - Tax on the valu...

Q. What is Estate Tax? Estate Tax - Tax on the value of a DECENDENT'S taxable estate, usually defined as the decedent's ASSETS less LIABILITIES and certain expenses that may in

Write Your Message!

Captcha
Free Assignment Quote

Assured A++ Grade

Get guaranteed satisfaction & time on delivery in every assignment order you paid with us! We ensure premium quality solution document along with free turntin report!

All rights reserved! Copyrights ©2019-2020 ExpertsMind IT Educational Pvt Ltd