Find the inner diameter of the tubular steel shaft, Mechanical Engineering

Assignment Help:

Find the inner diameter of the tubular steel shaft:

A solid aluminium shaft having 1 m long & of 50 mm diameter is to be replaced by a tubular steel shaft of the similar length and similar outside diameter so that either shaft might carry the same torque and contain the similar angle of twist, over the overall length. What should be the inner diameter of the tubular steel shaft?

Modulus of rigidity of steel might be taken as 0.85 × 105 N/mm2 and that of aluminium as 0.28 × 105 N/mm2.

Solution

Solid Aluminium Shaft lA = 1000 mm

dA = 50 mm

GA = 0.28 × 105 N/mm2

Tabular Steel Shaft

Ls = 100 cm

Ds0 = 50 mm,  dsi = ?

Gs = 0.85 × 105 N/mm2

Here,   TA = Ts and θA = θs

J A=  π (d A)4  = (π/32) × 504  = 6.25 π × 106 / 32 mm4          

110_Find the inner diameter of the tubular steel shaft.png

We know,

T/J  = G θ/l or θ = T l/JG

Therefore,

θA  = (TA lA   /  ((625 π/32) × 0.28 × 10) ) radian

1423_Find the inner diameter of the tubular steel shaft1.png

 

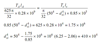
Since θA = θs and also TA  = Ts , lA  = ls

1200_Find the inner diameter of the tubular steel shaft2.png

    dsi  = 45. 243 mm


Related Discussions:- Find the inner diameter of the tubular steel shaft

Evaluate force to slide the body over the surface, Evaluate Force to slide ...

Evaluate Force to slide the body over the surface: A body having weight 100N rests on rough horizontal surface (µ = 0.3) and is acted upon by a force applied at an angle of 3

Break even analysis, Break even analysis: The costs from Shagun Palace...

Break even analysis: The costs from Shagun Palace, a continental restaurant, are shown below. Fixed costs are Rs. 50,000 per month. Break even analysis is applied as a

Explain the procedure of removal for valves, (a) Explain the procedure of r...

(a) Explain the procedure of removal for valves. (b) How should one remove valve guide from cylinder head? (c) What is the use of piston side base? (d) What is the use of

Describe natural and synthetic sand, Q. Describe Natural and Synthetic Sand...

Q. Describe Natural and Synthetic Sand? Natural sand: A natural sand is the on which is available from natural deposits. Only assistive and water need to be added to it to ma

Calculate the meta-centric height, a) state Newton's Law of Viscosity and a...

a) state Newton's Law of Viscosity and also define the various unit of Viscosity. Also describe how viscosity changes with temperature. b) a uniform body of size 3m long x 3m wi

Rigid body and momentum, Rigid body and Momentum: Body : A body consi...

Rigid body and Momentum: Body : A body consists of a Number of particles, it has definite shape. Rigid body :   A rigid body can be defined as the combination of a large

Material engineering, State the four classes of engineering materials 3 (b)...

State the four classes of engineering materials 3 (b) Identify the class which each of the following materials belong to. Present your answer in table form Silicone, concrete, chro

Example of support reaction, Example of support reaction: A fixed cra...

Example of support reaction: A fixed crane of 1000Kg mass is to lift 2400Kg crates. It is held in place by pin at point A and a rocker at point B . the C . G . is located

Determine the economic order quantity, Determine the economic order quantit...

Determine the economic order quantity: Determine the economic order quantity and the reorder point. Given Annual demand (D) = 2,000 units Average daily demand (d) = 2,00

Determine the speeds of gears, In a sun and planet type gear, the annular g...

In a sun and planet type gear, the annular gear (D) has 100 internal teeth, the sun gear (A) has 50 external teeth and a planet gear (B) has 25 external teeth. The gear (B) meshes

Write Your Message!

Captcha
Free Assignment Quote

Assured A++ Grade

Get guaranteed satisfaction & time on delivery in every assignment order you paid with us! We ensure premium quality solution document along with free turntin report!

All rights reserved! Copyrights ©2019-2020 ExpertsMind IT Educational Pvt Ltd