Find the area of the rhombus, Mathematics

Assignment Help:

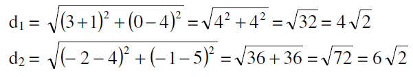
Show that the points (3, 0), (4, 5), (-1, 4) and (-2, -1) taken in order are the vertices of a rhombus. Also find the area of the rhombus.                                                                                                                                           (Ans: 24 sq units)

Ans :  Let AC be d1  & BD be d2

Area =1/2 d1d2

1875_di and d2.png

Area = 1/2 d1 d2  = 1/2χ4χ6χ2 = 24 sq units

 

 

 

 

 


Related Discussions:- Find the area of the rhombus

How many different words can be formed out from varanasi, Determine how man...

Determine how many different words can be formed out of the letters of the word VARANASI? Ans: 720 different words can be formed out of the letters of the word VARANASI.

Linear programming, Chelsea has been facing some financial problems which e...

Chelsea has been facing some financial problems which even caused her daily expenses for food, at the same time, she hasn''t receive the money from the bank loan yet. Therefore, sh

Shares and dividends, how to see shares and dividends of a company and are ...

how to see shares and dividends of a company and are they seen day wise?

Setup the mass balance equation - linear system method, Two tanks initially...

Two tanks initially contain 100 liter liquid each. Their initial concentration are listed in the Figure below. At time zero, the input and output valves are opened simultaneously w

Obtain the equation of the diagonals, the sides of a quad  taken at random ...

the sides of a quad  taken at random are     x+3y-7=0              x-2y-5=0 3x+2y-7=0               7x-y+17=0  obtain the equation of the diagonals

Tangents with parametric equations - polar coordinates, Tangents with Param...

Tangents with Parametric Equations In this part we want to find out the tangent lines to the parametric equations given by X= f (t) Y = g (t) To do this let's first r

Invoices and trade discounts, Natureland garden center buys lawn mowers tha...

Natureland garden center buys lawn mowers that list for $679.95 less a 30% discount. What is the dollar amount of the discount?

Plot your data on a scatter plot, Devise data that link a certain relations...

Devise data that link a certain relationship OF YOUR CHOOSING between two variables. Write a rationale stating why you chose this particular data and what you are planning to STAT

Write Your Message!

Captcha
Free Assignment Quote

Assured A++ Grade

Get guaranteed satisfaction & time on delivery in every assignment order you paid with us! We ensure premium quality solution document along with free turntin report!

All rights reserved! Copyrights ©2019-2020 ExpertsMind IT Educational Pvt Ltd