Explain wait for graph-resource request and allocation graph, Computer Engineering

Assignment Help:

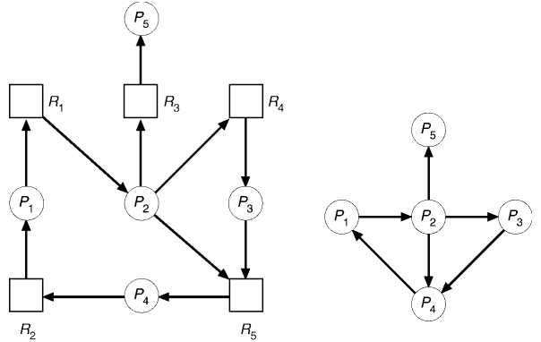
Explain Wait for graph (WFG) with Resource request and allocation graph (RRAG).

WFG with RRAG:

A graph G = (V,E) is termed as bipartite if V can be decomposed in two disjoint sets V1 and V2 therefore every edge in E joins a vertex in V1 to a vertex in V2. Assume that V1 be a set of processes and also V2 be a set of resources. Thus the graph is directed we will seems as:

2420_Resource request and allocation graph.png

 

 

  • An edge (Rj,Pi) that is an assignment edge to mean that resource Rj has been assigned to process Pi
  • An edge (Pi,Rj) (termed as a request edge) to implies that process Pi has requested resource Rj

1. Utilize a resource allocation graph to derive a wait-for-graph.

2. Wait-for graph acquired by making an edge from p1 to p2 if p1 is waiting for a resource which is allocated to p2.

3. Deadlock exists if a cycle exists into resulting wait-for-graph.

245_WF Graph.png


Related Discussions:- Explain wait for graph-resource request and allocation graph

Can we use write statements in screen fields, Can we use WRITE statements i...

Can we use WRITE statements in screen fields? If not how is data transferred from field data to screen fields? We cannot write field data to the screen using the WRITE stateme

Struct and class, https://dl.dropbox.com/u/41918180/Images/Pro%202/2.png ...

https://dl.dropbox.com/u/41918180/Images/Pro%202/2.png https://dl.dropbox.com/u/41918180/Images/Pro%202/3.png https://dl.dropbox.com/u/41918180/Images/Pro%202/4.png">https://dl.d

Explain routing tone in strowger telephony, Explain routing tone in strowge...

Explain routing tone in strowger telephony with waveforms and the timings. The call-in-progress tone or routing tone is a 400 Hz or 800 Hz intermittent pattern. In electromec

Explain about system deadlock, Q. Explain about System Deadlock? A dead...

Q. Explain about System Deadlock? A deadlock denotes to the condition when simultaneous processes are holding resources and putting off each other from finishing their executio

What is synchronous message passing, Q. What is Synchronous message passing...

Q. What is Synchronous message passing? In Synchronous message passing is executed on synchronous communication network.  In that case sender and receiver processes should be

Explain redundant array of independent disks levels, Q. Explain Redundant A...

Q. Explain Redundant Array of Independent Disks levels? One such industrial standard that exists for multiple-disk database schemes is called as RAID which implies Redundant Ar

Explain one dimensional array, Explain one dimensional arrays In one di...

Explain one dimensional arrays In one dimensional arrays array name is really a pointer to the first element in the array. Second element of the array can be accessed by using

Explain about the passive graphics device, Explain about the passive graphi...

Explain about the passive graphics device A passive graphics device simply draws pictures under computer control; i.e. it allows the computer to communicate graphically with th

Explain what is defecttracker, DefectTracker from Pragmatic Software - D...

DefectTracker from Pragmatic Software - Defect Tracker is a fully web-based defect tracking and hold up ticket system that manages issues and bugs, customer needs, test cases, a

Risks by financial service provider perspective, What are the risks by fina...

What are the risks by financial service provider's perspective in Electronic Payment Systems? Through the financial service provider's perspective: • Stolen service or c

Write Your Message!

Captcha
Free Assignment Quote

Assured A++ Grade

Get guaranteed satisfaction & time on delivery in every assignment order you paid with us! We ensure premium quality solution document along with free turntin report!

All rights reserved! Copyrights ©2019-2020 ExpertsMind IT Educational Pvt Ltd