Explain the basic concept of proteins, Biology

Assignment Help:

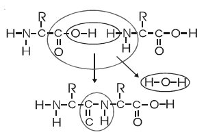
Explain the Basic Concept of Proteins?

Proteins, as we already knows by now are products of amino acids. Each molecule of protein is composed of many molecules of amino acids joined by peptide bond as can be seen in Figure.

542_Explain the Basic Concept of Proteins.png

Figure: Peptide bond formation

Proteins contain nitrogen in addition to carbon, hydrogen, oxygen and some other elements like sulphur. Thus determination of nitrogen is commonly used to determine the protein content of a sample. Proteins contain about 16% nitrogen and multiplying the nitrogen content by a factor of 6.25 gives us the amount of crude protein present in the given sample.


Related Discussions:- Explain the basic concept of proteins

Terms of incubation time and the generation time, If the generation time (t...

If the generation time (t) is the incubation time (t) per generation (G), or t = t/G, rewrite the formula you derived in question 2 for bacterial population growth in terms of incu

Define source of electrons - growth of microorganism, Define Source of Elec...

Define Source of Electrons - Growth of Microorganism? Depending upon the source of electrons used by microorganisms, these are known as - a) Lithotrophs (rock eaters) - use

What is myocardial infarction, Q. What is myocardial infarction? The My...

Q. What is myocardial infarction? The Myocardial infarction is the condition in which an area of this tissue or the entire heart muscle dies by hypoxia due to lack of blood irr

Protoplasmic - level of body organization, Protoplasmic - Level of body org...

Protoplasmic - Level of body organization Organisms which are made of just one cell are the simplest and the most primitive creatures called unicellular organisms. Their level

Define elongation phase - mechanism of protein synthesis, Define Elongation...

Define Elongation phase - mechanism of protein synthesis? Elongation: RNA polymerase moves along the DNA and sequential synthesizes the RNA chain. There is the repeated cycle o

Explain types of dietary adaptations for trerapieutic needs, Types of dieta...

Types of dietary adaptations for trerapieutic needs Normal nutrition is the foundation upon which therapeutic modifications are based. We  have already discussed  in  previous

Vitamins arid minerals in postoperative nutritional care, Define needs of V...

Define needs of Vitamins arid Minerals in Postoperative Nutritional Care? Vitamins are required for wound healing after a surgery. Vitamin C provides the cementing material of

What are melanocytes, What are melanocytes? Melanocytes are epithelial ...

What are melanocytes? Melanocytes are epithelial cells of the skin particular in secretion of melanin. Melanin is a pigment that besides coloring the skin, the iris of the eye

What do you mean by chromosome number, Q. What do you mean by Chromosome Nu...

Q. What do you mean by Chromosome Number? We are generally aware that the number of chromosomes in each cell of all individuals of a single species is constant. ,It is also est

What are ions, What are ions? What are the two types of molecules into whic...

What are ions? What are the two types of molecules into which ions are classified? Ions are atoms or substances electrically charged by means of loss or gain of electrons.

Write Your Message!

Captcha
Free Assignment Quote

Assured A++ Grade

Get guaranteed satisfaction & time on delivery in every assignment order you paid with us! We ensure premium quality solution document along with free turntin report!

All rights reserved! Copyrights ©2019-2020 ExpertsMind IT Educational Pvt Ltd