Explain human height growth curves, Advanced Statistics

Assignment Help:

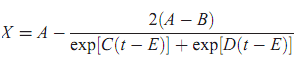
Human height growth curves: The growth of human height is, in common, remarkably regular, apart from the pubertal growth spurt. The satisfactory longitudinal development curve is extremely useful as it enables long series of the measurements to be replaced by a few parameters, and may permit early detection and treatment of the growth abnormalities. Many such curves have been proposed, of which possibly the most successful is the the below written five-parameter curve

1134_human height growth curves.png 

 where
 t = time (prenatal age measured from day of birth),
 X = height reached at the age t,
A = is the adult height,
B = height reached by the child at age E,
 C =a ?rst time-scale factor in units of the inverse time,
 D= a second time-scale factor in units of the inverse time,
 E = approximate time at which pubertal growth spurt happens.


Related Discussions:- Explain human height growth curves

Z-tests, Hello! I am currently in graduate school earning a masters in ment...

Hello! I am currently in graduate school earning a masters in mental health counseling. I am in a stats course at current and we are reviewing z-scores. I am a little lost because

Cohort study, Cohort study : An investigation in which the group of individ...

Cohort study : An investigation in which the group of individuals (or the cohort) is identi?ed and followed prospectively, possibly for many years, and their subsequent medical his

General household survey, It is the survey which is carried out in Great Br...

It is the survey which is carried out in Great Britain on a continuous basis since 1971. About 100 000 households are included in this sample every year. The main goal of the surve

Em algorithm, The method or technique for producing the sequence of paramet...

The method or technique for producing the sequence of parameter estimates that, under the mild regularity conditions, converges to maximum likelihood estimator. Of particular signi

Student, the problem that demonstrates inference from two dependent samples...

the problem that demonstrates inference from two dependent samples uses hypothetical data from TB vaccinations and the number of new cases before and after vaccinations for cases o

Survey Design, Hello, I have a solution for a Survey Design (proposal) assi...

Hello, I have a solution for a Survey Design (proposal) assignment and looking for an expert that can look at it and correct it in case if it is wrong. Do you have this kind of ser

Principal factor analysis, Principal factor analysis is the method of fact...

Principal factor analysis is the method of factor analysis which is basically equivalent to a principal components analysis performed on reduced covariance matrix attained by repl

Explain markers of disease progression, Markers of disease progression : Qu...

Markers of disease progression : Quantities which form a general monotonic series throughout the course of the disease and assist with its modelling. In uasual such quantities are

Intercropping experiments, Intercropping experiments are the experiments i...

Intercropping experiments are the experiments including growing two or more crops at same time on the same patch of land. The crops are not required to be planted nor harvested at

Mcnemar''s test, McNemar's test  is the test for comparing proportions in d...

McNemar's test  is the test for comparing proportions in data involving the paired samples. The test statistic can be given by   it is most useful when the data have a symmetri

Write Your Message!

Captcha
Free Assignment Quote

Assured A++ Grade

Get guaranteed satisfaction & time on delivery in every assignment order you paid with us! We ensure premium quality solution document along with free turntin report!

All rights reserved! Copyrights ©2019-2020 ExpertsMind IT Educational Pvt Ltd