Example multi-layer ann with sigmoid units, Computer Engineering

Assignment Help:

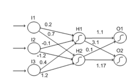
Example Multi-layer ANN with Sigmoid Units:

However we will concern ourselves here that with ANNs containing only one hidden layer and as this makes describing the backpropagation routine easier. So notice that networks whereas you can feed in the input on the left and propagate it forward to get an output that are called as feed forward networks.

In below is such an ANN in which with two sigmoid units in the hidden layer. In fact the weights have been set arbitrarily between all the units. 

1509_Example Multi-layer ANN with Sigmoid Units.png

However note that the sigma units have been identified by sigma signs in  the node on the graph. So as we did with perceptrons then we can give this network an input and determine the output. In fact we can also look to see such units "fired", i.e., had a value closer to 1 than to 0.


Related Discussions:- Example multi-layer ann with sigmoid units

Spirit duplicating of information, Spirit Duplicating Equipment Requir...

Spirit Duplicating Equipment Required Spirit Duplicator (also known as hectograph) Thermal copier (optional) Materials Masters Hectographic carbon COPY pa

Program, Write a program to find the area under the curve y = f(x) between ...

Write a program to find the area under the curve y = f(x) between x = a and x = b, integrate y = f(x) between the limits of a and b. The area under a curve between two points can b

Unix essentials, Version Control is a critical tool in development and prod...

Version Control is a critical tool in development and production environments that allows a user to make snapshots of working con?gurations or code. In this assignment, you will de

Explain process of file transfer protocol, Q. Explain process of File Trans...

Q. Explain process of File Transfer Protocol? FTP (File Transfer Protocol), a standard Internet protocol, is the simplest way to exchange files between computers on Internet. L

Applications of microprogramming - computer architecture, Applications of M...

Applications of Microprogramming: Microprogramming application:: emulation o   Use of a micro program on 1 machine to execute programs initially written to run on ano

What is co-operative process, What is co-operative process? A process i...

What is co-operative process? A process is co-operating if it can affect or be affected by the other processes implementing in the system. Any process that share data with othe

Define restoring method, Define restoring method? The hardware method j...

Define restoring method? The hardware method just explained is called the restoring method. The reason for this name is that the partial reminder is restored by adding the divi

Find the simplified function, Q. F' (A, B, C, D) = (A + B + D')(A + C' + D'...

Q. F' (A, B, C, D) = (A + B + D')(A + C' + D')(A + B' + C')        D' (A, B, C, D) = (A + B' + C + D')(A' + C' + D')(A' + B + D)        Find the simplified function F and imple

Optimum solution based on constraint problems, Optimum solution based on co...

Optimum solution based on constraint problems: Whether depending on what solver you are using so there constraints are often expressed as relationships between variables as e.

Define technique of improving priority of process wait queue, is a techniqu...

is a technique of improving the priority of process waiting in Queue for CPU allocation? Ageing is a technique of enhancing the priority of process waiting in Queue for CPU all

Write Your Message!

Captcha
Free Assignment Quote

Assured A++ Grade

Get guaranteed satisfaction & time on delivery in every assignment order you paid with us! We ensure premium quality solution document along with free turntin report!

All rights reserved! Copyrights ©2019-2020 ExpertsMind IT Educational Pvt Ltd