Derive the pure strategy nash equilibrium, Basic Statistics

Assignment Help:

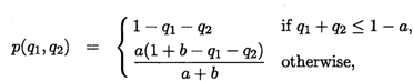
There are two firms competing in quantity. Firm 1 and 2 set their quantities supplied, q1 and q2, respectively. The production costs are zero. The market price is given by

1314_Derive the pure strategy Nash equilibrium.png

where a ∈ (0,1/2) and b ≥0. Note that the inverse demand function is kinked at the point (1 - a, a).

69_Derive the pure strategy Nash equilibrium1.png

This is a simple one-shot game. The firms simultaneously set their quantities. The objective of each firm is to maximize its profit, that is,

150_Derive the pure strategy Nash equilibrium2.png

1. Derive the pure strategy Nash equilibrium and the equilibrium profits when b = 0.

Ans. 0.5 each

2. Derive the pure strategy Nash equilibrium and the equilibrium profits when b > 0. Note that two pure strategy Nash equilibria may exist.

Ans. All or nothing

3. Dose an increase in b benefit the two firms? This means that you should explain whether or not at increase in the demand size benefits the firm.


Related Discussions:- Derive the pure strategy nash equilibrium

The number of degrees of freedom, Use the given information to find the num...

Use the given information to find the number of degrees of? freedom, the critical values chi Subscript Upper L Superscript 2?2L and chi Subscript Upper R Superscript 2?2R?, and the

Find the pv of the depreciation tax, PC Shopping Network may upgrade its mo...

PC Shopping Network may upgrade its modem pool. It last upgraded 2 years ago, when it spent $115 million on equipment with a life of 5 years and a salvage value of $15 million. The

Normal Approximation to Binomial Probability Distribution, A machine that f...

A machine that fills quart milk cartons is set up to average 32.2 oz per carton, with a standard deviation of 1.2 oz. Assume a normal distribution for all of the cartons filled, wh

Functions of statistics .., Mention four characteristics and functions of s...

Mention four characteristics and functions of statistics

What is Nuclear holocaust, Nuclear holocaust It is the name given to large...

Nuclear holocaust It is the name given to large scale destruction and devastation that would be caused by the use of nuclear weapon. The radioactive waste will hang like a cloud i

Define Betterment, Define Betterment An inclusion created to, or modify cr...

Define Betterment An inclusion created to, or modify created in, an investment resource, other than servicing, that is estimated to improve its predicted useful life or to improve

Probability, Mike sells on the average 15 newspapers per week (Monday – Fri...

Mike sells on the average 15 newspapers per week (Monday – Friday). Find the probability that 2.1 In a given week he will sell all the newspapers

What is the probability that a major defect is detected, Back to the worksh...

Back to the workshop the previous problem but assuming that in each of the three stages of development, there is a certain probability that a major defect is detected. When such a

Royalty accounts, Ritu acquired a mine on lease from Richa for a period of ...

Ritu acquired a mine on lease from Richa for a period of 8 years at a royalty of ` 60 per tonne of coal produced subject to minimum rent of ` 1,00,000 for the first year, increasin

#title.research.methods and statistics, identify a research report publishe...

identify a research report published by reputable agencies and evaluate the following ;the problem that was addressed

Write Your Message!

Captcha
Free Assignment Quote

Assured A++ Grade

Get guaranteed satisfaction & time on delivery in every assignment order you paid with us! We ensure premium quality solution document along with free turntin report!

All rights reserved! Copyrights ©2019-2020 ExpertsMind IT Educational Pvt Ltd