Creation of Heap, Data Structure & Algorithms

Assignment Help:

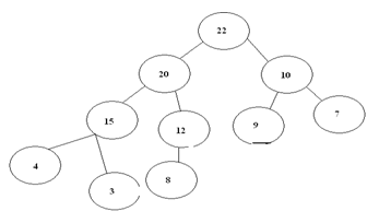
Q. Create a heap with the given list of keys:

8, 20, 9, 4, 15, 10, 7, 22, 3, 12                                                 

Ans:

Creation of the heap:- 8 20   9  4      15   10   7     22   3     12

1200_Creation of heap.png

 


Related Discussions:- Creation of Heap

Sorting algorithm is best if the list is already sorted, Which sorting algo...

Which sorting algorithm is best if the list is already sorted? Why? Insertion sort as there is no movement of data if the list is already sorted and complexity is of the order

Advantages of dry running a flowchart, Advantages of dry running a flowchar...

Advantages of dry running a flowchart When dry running a flowchart it's advisable to draw up a trace table illustrating how variables change their values at every stage in the

User-specified memory location, You need to implement a function which will...

You need to implement a function which will write out a given user-specified memory location to disk in base 10. That means that you have to convert the large number data structure

Define the term counting - pseudocode, Define the term counting - Pseudocod...

Define the term counting - Pseudocode Counting in 1s is quite simple; use of statement count = count + 1 would enable counting to be done (for example in controlling a repeat

Multidimensional array in one dimensional array, Q. By giving an example sh...

Q. By giving an example show how multidimensional array can be represented in one the dimensional array.

A sort which relatively passes by a list, A Sort which relatively passes by...

A Sort which relatively passes by a list to exchange the first element with any element less than it and then repeats with a new first element is called as      Quick sort.

Internal sorting, In internal sorting, all of the data to be sorted is obta...

In internal sorting, all of the data to be sorted is obtainable in the high speed main memory of the computer. We will learn the methods of internal sorting which are following:

Usage of linked lists for polynomial manipulation, Q. Establish the usage o...

Q. Establish the usage of linked lists for polynomial manipulation.                                       Ans. Usag e of Linked List for Polynomial Manipulation. Link

Searching, Searching is the procedure of looking for something: Finding one...

Searching is the procedure of looking for something: Finding one piece of data that has been stored inside a whole group of data. It is frequently the most time-consuming part of m

Array implementation of a multiqueue, Program gives the program segment by ...

Program gives the program segment by using arrays for the insertion of an element to a queue into the multiqueue. Program: Program segment for the insertion of any element to t

Write Your Message!

Captcha
Free Assignment Quote

Assured A++ Grade

Get guaranteed satisfaction & time on delivery in every assignment order you paid with us! We ensure premium quality solution document along with free turntin report!

All rights reserved! Copyrights ©2019-2020 ExpertsMind IT Educational Pvt Ltd