Catalytic activity of metalloenzymes, Chemistry

Assignment Help:

Q. Catalytic activity of metalloenzymes?

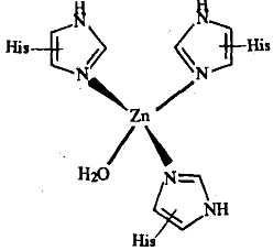
Catalytic activity of metalloenzymes depends on the complex form in ability of a particular metal ion. One specific example is carbonic anhydrase which is a Zn2+activated metalloenzyme. Carbonic anhydrase is an important enzyme of respiration. It catalyses dehydration of carbonic acid and  the release of CO2.

H2C03 ------------------------> H20 + CO2

Carbonic anhydrase consists of a zinc ion which is tetrahedrally coordinated by three imidazole nitrogen atoms and a water molecule. The active site of the enzyme is The one where water molecules is attached to the zinc ion.

579_Catalytic activity of metalloenzymes.png

 


Related Discussions:- Catalytic activity of metalloenzymes

Gibbs free energy and spontaneity, Q. Describe Gibbs Free Energy and Sponta...

Q. Describe Gibbs Free Energy and Spontaneity? Ans. This is the end of the quest to find spontaneity.  Free Energy, or Gibbs Free Energy is a quantity which balances the r

Structure of dna and rna - biomolecules, Structure of DNA and RNA The s...

Structure of DNA and RNA The sequence of bases along with the DNA and RNA chain makes its primary structure that controls the particular properties of the nucleic acid. An RNA

Chemistry, 4 NH3 + 5 O2 --> 4 NO + 6 H2O How many grams of NO are actually ...

4 NH3 + 5 O2 --> 4 NO + 6 H2O How many grams of NO are actually produced when 60.02 grams of ammonia are allowed to react with 96.00 grams of oxygen? ((This is a limiting reactant

Concentration of electrons in the conduction band, Concentration of electro...

Concentration of electrons in the conduction band At equilibrium, there is no net current flowing across p-n junction. Concentration of electrons in the conduction band in cond

p-methoxybenzyl bromide reacts with ethanol, Why does p-methoxybenzyl brom...

Why does p-methoxybenzyl bromide reacts with ethanol faster than p-nitrobenzylbromide Solution) Because o-ch 3 is electron donating group while NO 2 is a electron withdrawing g

What do you mean by scientific methods, Q. What do you mean by Scientific M...

Q. What do you mean by Scientific Methods? A scientific method is a systematic approach utilized to answer a question or study a situation. It is both an organized manner for

Acid dyes - classification of dyes, Acid dyes: These are commonly salts...

Acid dyes: These are commonly salts of sulphonic acids and can be helpful to silk, wool and nylon. The presence of sulphonic acid group creates them water soluble. These dyes a

Physical chemistry homework help, For 1D particle in a box wave functions i...

For 1D particle in a box wave functions in a box of length L, evaluate a formula for the average energy in terms of the quantum number n: =?0L?*Hˆ?dx

Crude and dietary fibre, Q. Crude and Dietary Fibre? Crude fibre is the...

Q. Crude and Dietary Fibre? Crude fibre is the organic residue which remains after the food sample has been treated with boiling dilute sulphuric acid, boiling dilute sodiu

Write Your Message!

Captcha
Free Assignment Quote

Assured A++ Grade

Get guaranteed satisfaction & time on delivery in every assignment order you paid with us! We ensure premium quality solution document along with free turntin report!

All rights reserved! Copyrights ©2019-2020 ExpertsMind IT Educational Pvt Ltd