Behrens fisher problem, Advanced Statistics

Assignment Help:

Behrens Fisher problem: The difficulty of testing for the equality of the means of the two normal distributions which do not have the equal variance. Various test statistics have been planned, even though none of them are completely satisfactory. The one which is most commonly used can be given as


1648_behrens fisher problem.png 

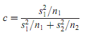
where x1; x2; s21; s2 2; n1 and n2 are the variances, means and sizes of samples of observations from each population. Under the hypothesis or the assumption that the population means are equal, t has a Student's t-distribution with v degrees of freedom where




1571_behrens fisher problem1.png 

and


2322_behrens fisher problem2.png 


Related Discussions:- Behrens fisher problem

Dummy variables, The variables resulting from the recoding categorical vari...

The variables resulting from the recoding categorical variables with more than two categories into the sequence of binary variables. Marital status, for instance, if originally lab

Determine allowable setup cost, A metal fabrication process uses a die-cast...

A metal fabrication process uses a die-cast metal fastener at a uniform rate of 300 units per year. Currently, this item is currently purchased from an external supplier at a unit

Common cause failures (ccf), Common cause failures (CCF): Simultaneous fai...

Common cause failures (CCF): Simultaneous failures of the number of components due to a same reason. A reason can be external to the components, or it can be the single failure wh

F-test, A test for equality of the variances of the two populations having ...

A test for equality of the variances of the two populations having normal distributions, based on the ratio of the variances of the sample of observations taken from each. Most fre

Fiducial inference, The problematic and enigmatic theory of an inference in...

The problematic and enigmatic theory of an inference introduced by the Fisher, which extracts a probability distribution for the parameter on the basis of the data without having f

Expected frequencies, A term commonly encountered in the analysis of the co...

A term commonly encountered in the analysis of the contingency tables. Such type of frequencies are the estimates of the values to be expected under hypothesis of interest. In a tw

Define interval-censored observations, Interval-censored observations ar...

Interval-censored observations are the  observations which often occur in the context of studies of time elapsed to the particular event when subjects are not monitored regularl

Geographical analysis machine, Geographical analysis machine is the proced...

Geographical analysis machine is the procedure designed to detect the clusters of rare diseases in a particular area. Circles of fixed radii are created at each point of the squar

Autocorrelation, This graph for Cross Correlation Function for RES1, RES1 s...

This graph for Cross Correlation Function for RES1, RES1 shows that there is possibly negative autocorrelation as there are alternating spikes; also the first spike is negative whi

Regression dilution, Regression dilution is the term which is applied when...

Regression dilution is the term which is applied when a covariate in the model cannot be measured directly and instead of that a related observed value must be used in analysis. I

Write Your Message!

Captcha
Free Assignment Quote

Assured A++ Grade

Get guaranteed satisfaction & time on delivery in every assignment order you paid with us! We ensure premium quality solution document along with free turntin report!

All rights reserved! Copyrights ©2019-2020 ExpertsMind IT Educational Pvt Ltd