Avionic systems design- stability derivatives, Other Engineering

Assignment Help:

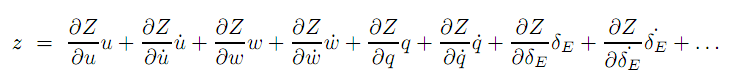
The idea of stability derivatives is to approximate the general functional relationship between any force ormoment variable and the dynamic or control variables as a Taylor series expansion of the perturbation (i.e.small changes) about a trimmed flight condition. In non mathematical terms this simply means that weassume that we can approximate the functional relationship of the perturbation as a linear combinationof of the dynamic variables and control variables with the coeficients of these termed aerodynamicderivatives. Thus for example the perturbation z of the vertical force Z is expressed in terms of theperturbations of dynamic variables u, uw, w etc. and control variable terms such as due to the elevator

2154_Stability Derivatives.png

where the partial derivative coeficients are assumed constant at each particular flight condition. 

 


Related Discussions:- Avionic systems design- stability derivatives

The impact and post-impact behaviour of composites , The Impact and Post-im...

The Impact and Post-impact Behaviour of Composites  Many early studies involved doing Charpy tests on small notched samples. This is a destructive test of impact resistance, co

Urban stormwater, Is there anyone on your staff good with HEC-HMS software ...

Is there anyone on your staff good with HEC-HMS software for modeling rain events?

Equivalent shaft horsepower - aircraft maintenance , Equivalent Shaft Horse...

Equivalent Shaft Horsepower (EHP) In practice there is always a certain amount of jet thrust in the total output of the turbo-propeller engine and this must be added to the s.h

Burners - aircraft engine , BURNERS :  ATOMISER BURNERS This ...

BURNERS :  ATOMISER BURNERS This type of burner presents the fuel in a finely atomised spray by forcing the fuel to pass through a small orifice. The size of the orifi

Signal and system, if the response of a signal is h(t) then the cascading o...

if the response of a signal is h(t) then the cascading of two responses h1(t) and h2(t) is given by

Problem, The following exchange rates are available to you. (You can buy or...

The following exchange rates are available to you. (You can buy or sell at the stated rates.) Mt. Fuji Bank ¥85.00/$ Mt. Rushmore Bank SF1.356/$ Mt. Blanc Bank ¥64.74/SF Assume t

Direct from engine compressor, Direct from engine compressor: A Load va...

Direct from engine compressor: A Load valve is switched on from the flightdeck, power for the switch is available once the APU has achieved 95% + 3 sec. This energises the swit

Statistical Quality control, Pls solve the problem 13-7 in Statistical Qual...

Pls solve the problem 13-7 in Statistical Quality control by Montgomery

#title.MARKET VALUE WEIGHT OF EQUITY., AAA has 1,000,000 shares of common s...

AAA has 1,000,000 shares of common stock trading at $20.00 per share. The company''s debt consists of 2,000 $1,000 par value 10-year 7.0% annual coupon bonds with semiannual paymen

Write Your Message!

Captcha
Free Assignment Quote

Assured A++ Grade

Get guaranteed satisfaction & time on delivery in every assignment order you paid with us! We ensure premium quality solution document along with free turntin report!

All rights reserved! Copyrights ©2019-2020 ExpertsMind IT Educational Pvt Ltd