Antioxidants - chemicals in food, Chemistry

Assignment Help:

Antioxidants:

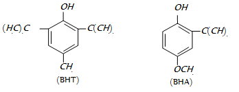
Antioxidants are the significant and essential food additives. These substances hold back the action of oxygen on the food and hence help in its preservation. These react as sacrificial a compound that is these are much more active towards oxygen as compared to be the materials they are protecting. They as well cut the rate of participation of free radicals in the aging procedure. The two most common antioxidants utilized are butylated hydroxy toluene abbreviated as BHT and butylated hydroxy anisole abbreviated as BHA. The addition of BHA to butter raises its storage life from months to years. The two comprises the subsequent structures.

1983_Antioxidants.png


Related Discussions:- Antioxidants - chemicals in food

Dihydric alcohols - hydrocarbon, Dihydric alcohols - Hydrocarbon These ...

Dihydric alcohols - Hydrocarbon These are compound consisting of two hydroxyl sets. These are dihydroxy components of alkanes. Their common formula is A n H 2n+2 O 2 . The very

Antipyretic - chemistry in action, Antipyretic: Antipyretic is a drug ...

Antipyretic: Antipyretic is a drug that is accountable for lowering the temperature of feverish object. The central nervous system, specifically the hypothalamus, takes an sig

Ch 2 atomic structure of class 11, If the velocity of hydrogen molecule is5...

If the velocity of hydrogen molecule is5*10^4 cm/sec tjen its de broglie wavelength is

Inorganic chemistry, Why do the hydrides of O and F in group 16 and 17 resp...

Why do the hydrides of O and F in group 16 and 17 respectively show abnormally high melting points and boiling points as compared to other hydrides in their respective groups? Expl

Atomic absorption troublshouting, Dear sir, We need your consultancy in a t...

Dear sir, We need your consultancy in a technical problem that we are confronting, and we would really appreciate your help We are in the process of implementing the heavy metal an

Sequence of amino acids histidine-glutamine-lysine in buffer, In lab, you'r...

In lab, you're having fun along with buffers based onto a 0.1 M solution of sodium phosphate at pH7.0.  Into this system, there are three of pK A s as:  12.7, 7.21 and 2.12.

Principle ores that are mined?, how is ores extracted and the down stream p...

how is ores extracted and the down stream process and its principles?

Substitution reactions - types of organic reactions, Substitution reactions...

Substitution reactions Replacement of a molecule or set/group of the substrate by any another type of atom or group is termed as substitution reactions. Examples :

What do you understand by marine biodiversity, Question : (i) What do ...

Question : (i) What do you understand by marine biodiversity? (ii) Give full nomenclature (common and scientific names) for species from marine fauna and species from mari

Write Your Message!

Captcha
Free Assignment Quote

Assured A++ Grade

Get guaranteed satisfaction & time on delivery in every assignment order you paid with us! We ensure premium quality solution document along with free turntin report!

All rights reserved! Copyrights ©2019-2020 ExpertsMind IT Educational Pvt Ltd