How each stereoisomer is formed in the reaction

Assignment Help Chemistry
Reference no: EM134507

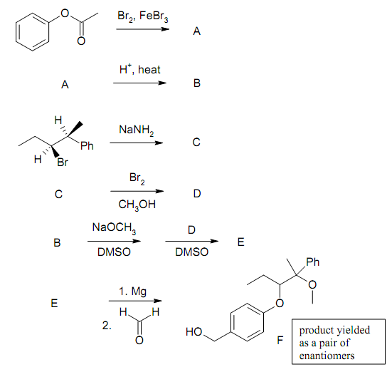
The following sequence of reactions was used to synthesis compound F. Compound B, which is produced in step 2, is used in the fifth step. In step 5, B is de-protonated by NaOCH3 in an acid-base reaction and reacted with D in a substitution reaction (a small amount of alkene is also formed in this reaction which should be ignored). In the first step, only one isomer, A, is formed. Compound F yielded as a pair of enantiomers.

For each of the six reactions, draw the major product (A-F) of the reaction. Show all stereoisomers of A-F which are formed. When the starting material consists of several stereoisomers, clearly indicate the stereoisomer of the product formed from each of the stereoisomers of the starting material.

Draw the accepted mechanism for each reaction and illustrate how each stereoisomer is formed in the reaction. For the reaction, which yields product B, predict the peaks in the IR and NMR spectra of the starting material and the product B. Also comment on the differences in these spectra which indicate a successful reaction yielding the product.

1548_How each stereoisomer is formed in the reaction.png

Reference no: EM134507

Questions Cloud

How fast is the roller coaster moving at the top of the loop : How fast is the roller coaster moving at the top of the loop
Briefly define the current event described in the article : Research an article on a current event that centres on some sort of question or controversial issue. Then explain how you would analyze the situation if you were involved in this event to settle the issue Briefly define the current event describ..
Question on a planet similar to earth : Question on a  planet similar to Earth
Compute the capacity of each machine center : Compute the capacity of each machine center as well as the capacity of the system
How each stereoisomer is formed in the reaction : Draw the accepted mechanism for each reaction and illustrate how each stereoisomer is formed in the reaction.
Leadership of the organization made in making their decision : leadership of the organization made in making their decision
Find the force exerted by the plane on the pilot : Find the  force exerted by the plane on the pilot
Implement needham-schroeder protocol using python : Implement Needham-Schroeder symmetric key protocol, both original version and fixed version using python.
Equate the distributions for job growth percentage : Using your results from (a) equate the distributions for job growth percentage as well as percentage of women employed. What can you conclude

Reviews

Write a Review

Chemistry Questions & Answers

  Steps in the mechanism for the following reaction

Show all the steps in the mechanism for the following reaction, When benzene is mixed with deuterated sulfuric acid, deuterium is slowly incorporated onto the ring. Show the mechanism for this reaction and explain how this relates the sulfonation of ..

  Prior to placing piece of metal into the graduated cylinder

This assignment inhibits chemistry Laboratory Questions.

  Write the structures of the saytzeff elimination

Write the structures of the saytzeff elimination

  Calculate ph - chemistry questions

Chemistry Questions on Calculate P H

  How many mols of hydrogen can produce

how many mols of H 2 can produce

  Analysis of corrosion mechanisms

Analysis of corrosion mechanisms and preventative measures

  Chemical and pharmaceutical science

Write an equation for the formation of an acetal from reaction of excess methanol with benzaldehyde in the presence of an acid catalyst.

  Calculate the approximate sulphur

Calculate the approximate SO 2 mass emission in lb/day.

  What is the structure - stereochemistry

What is the structure (including functional groups)? Stereochemistry (racemic or single enantiomer)?

  Design a qualitative analysis scheme

Design a qualitative analysis scheme

  What will be the resultant pressure

What will be the resultant pressure when the stopcock is opened?

  The 1h nmr spectrum

Integrals for some of the resonances in the 1H NMR spectrum are higher than they should be due to the shear number of hydrogens in this compound

Free Assignment Quote

Assured A++ Grade

Get guaranteed satisfaction & time on delivery in every assignment order you paid with us! We ensure premium quality solution document along with free turntin report!

All rights reserved! Copyrights ©2019-2020 ExpertsMind IT Educational Pvt Ltd