Find the slack for each activity

Assignment Help Operation Management
Reference no: EM131909742

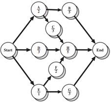
Question: 1. A construction project has the following network and activity times:

a. Make a forward pass and a backward pass on the activity times.

b. Find the slack for each activity.

c. Prepare a Gantt chart for this project.

d. Activity D will be delayed by one day. What effect will this have on the project?

2286_3.png

2. A plant start-up is based on the following network

2422_Time.png

a. Draw a network for this project.

b. What is the project completion time?

c. Identify the critical path.

Reference no: EM131909742

Questions Cloud

What are the beginning inventories for work in process : Production costs incurred during the period were $620. What are the beginning inventories for work in process and finished goods
What types of risks should shareholder wealth-maximizing : What types of risks should shareholder wealth-maximizing managers seek to offset in a firm they are managing? Why?
Element of difference between bonds and insurance policies : Explain two key similarities and the major element of difference between bonds and insurance policies.
Positive impact on american society : 7 ways in which rock and roll has had a positive impact on american society since the 1950s.
Find the slack for each activity : A construction project has the following network and activity times: Make a forward pass and a backward pass on the activity times.
Type of intercultural romantic relationship : Which type of intercultural romantic relationship would pose the most challenges in your opinion and why?
Trustworthy and that both investments carry same risk : Assume your brother is trustworthy and that both investments carry the same risk. Which investment option will you choose and why?
What is the tax income consequences idea : Is there a better economic structure that will give the three people the result they desire? If so what is it and defend the idea?
Importance of spacing norms in the united states : What do these responses to your space violations reveal to you regarding the importance of spacing norms in the United States?

Reviews

Write a Review

Operation Management Questions & Answers

  Book review - the goal

Operations Management is about a book review. Title of the book is "Goal". This book has been written by Dr. Eliyahu Goldartt. The book has been appreciated by many as one of those books which offers an insight into the operations and strategic capac..

  Operational plan in hospitality enterprise

Operational plan pertaining to a hospitality enterprise is given in detail in the solution. The operational plan is an important plan or preparation which gives guidelines regarding the role and responsibilities of each and every operation at all lev..

  Managing operations and information

Recognise the importance of a strategic approach to the development and deployment of organisational information systems. Demonstrate an understanding of the importance of databases and their integration to the organisation's overall information mana..

  A make-or-buy analysis

An analysis of the holding costs, including the appropriate annual holding cost rate.

  Evolution and contributor of operations management

Briefly explain Evolution and contributor of Operations management.

  Functions and responsibilities of an operations manager

A number of drivers of change have transformed the roles, functions and responsibilities of an operations manager over recent years. These drivers have not only been based on technological innovations but also on the need for organisations to develop..

  Compute the optimal order quantity

Compute the Optimal Order quantity of DVD players. Determine the appropriate reorder point.

  Relationship to operations practice in the organisation

Evaluate problems in operations and identify approaches to overcoming them. Critically evaluate operating plans and identify areas for improvement. Justify, implement and evaluate changes to operations in line with modern approaches.

  A make or buy analysis

Develop a report for Figi Fabricating that will address the question of whether the company should continue to purchase the part from the supplier or begin to produce the part itself.

  Prepare a staffing plan

Prepare a staffing plan showing the change of your unit from medical/surgical staffing to oncology staffing.

  Leadership styles in different organizations

Ccompare the effectiveness of different leadership styles in different organizations

  Risk management tools and models

Be able to understand the concept of risk, roles and responsibilities for risk management and risk management tools and models.

Free Assignment Quote

Assured A++ Grade

Get guaranteed satisfaction & time on delivery in every assignment order you paid with us! We ensure premium quality solution document along with free turntin report!

All rights reserved! Copyrights ©2019-2020 ExpertsMind IT Educational Pvt Ltd