Find the critical path and the slack times for each step

Assignment Help Operation Management
Reference no: EM131649815

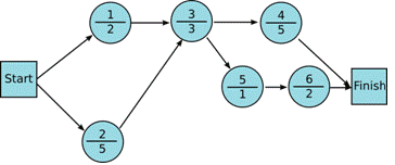
Using the CPM/PERT network below, with times measured in days, find the critical path and the slack times for each step. For each node, the step number is written on top and the time written on the bottom.

2385_Untitled.png

Reference no: EM131649815

Questions Cloud

Which form of business will be easiest for them to organize : Which form of business will be easiest for them to organize? Which form of business will provide greatest protection for Kim’s and Martha’s uncommitted savings?
Public sector manager in the policy making process : Some argue that the primary role of the public sector manager in the policy making process is to implement policies made by elected officials.
Define groups and organizations : Define “groups” and “organizations.” What is the difference between a voluntary and an involuntary group?
Revitalization to the war on terrorism : The potential attacks and subsequent devastation that could result from a terrorist attack would likely give revitalization to the “War on Terrorism.” Why?
Find the critical path and the slack times for each step : Using the CPM/PERT network below, with times measured in days, find the critical path and the slack times for each step.
Type of system is most appropriate for public administration : In your professional judgment, which type of system is most appropriate for public administration?
Prepare work breakdown structure for the project : Consider this project from the project manager’s viewpoint and prepare a Work Breakdown Structure (WBS) for the project.
Different types of agendas : Express your understanding that there are different types of agendas and the implications of each of those types.
Track the changes in the euro-usd exchange rate : Based on your own Internet research, track the changes in the Euro/USD exchange rate since the Euro was launched in 2002.

Reviews

Write a Review

Operation Management Questions & Answers

  Book review - the goal

Operations Management is about a book review. Title of the book is "Goal". This book has been written by Dr. Eliyahu Goldartt. The book has been appreciated by many as one of those books which offers an insight into the operations and strategic capac..

  Operational plan in hospitality enterprise

Operational plan pertaining to a hospitality enterprise is given in detail in the solution. The operational plan is an important plan or preparation which gives guidelines regarding the role and responsibilities of each and every operation at all lev..

  Managing operations and information

Recognise the importance of a strategic approach to the development and deployment of organisational information systems. Demonstrate an understanding of the importance of databases and their integration to the organisation's overall information mana..

  A make-or-buy analysis

An analysis of the holding costs, including the appropriate annual holding cost rate.

  Evolution and contributor of operations management

Briefly explain Evolution and contributor of Operations management.

  Functions and responsibilities of an operations manager

A number of drivers of change have transformed the roles, functions and responsibilities of an operations manager over recent years. These drivers have not only been based on technological innovations but also on the need for organisations to develop..

  Compute the optimal order quantity

Compute the Optimal Order quantity of DVD players. Determine the appropriate reorder point.

  Relationship to operations practice in the organisation

Evaluate problems in operations and identify approaches to overcoming them. Critically evaluate operating plans and identify areas for improvement. Justify, implement and evaluate changes to operations in line with modern approaches.

  A make or buy analysis

Develop a report for Figi Fabricating that will address the question of whether the company should continue to purchase the part from the supplier or begin to produce the part itself.

  Prepare a staffing plan

Prepare a staffing plan showing the change of your unit from medical/surgical staffing to oncology staffing.

  Leadership styles in different organizations

Ccompare the effectiveness of different leadership styles in different organizations

  Risk management tools and models

Be able to understand the concept of risk, roles and responsibilities for risk management and risk management tools and models.

Free Assignment Quote

Assured A++ Grade

Get guaranteed satisfaction & time on delivery in every assignment order you paid with us! We ensure premium quality solution document along with free turntin report!

All rights reserved! Copyrights ©2019-2020 ExpertsMind IT Educational Pvt Ltd